1. 서 론
미세조류는 수중에 서식하는 광합성 단세포 조류를 총칭하는 것으로 광합성 산물의 30–50%를 담당하는 1차 생산자로서 수중 생태계에 중요한 역할을 하고(Chen et al. 2011), 광합성 과정에서 빛에너지를 화학에너지로 변환시켜 단백질, 지방, 탄수화물, 비타민 이외에도 EPA나 DHA 등과 같은 인체에 필요로 하는 불포화 지방산이나 카로티노이드 계통의 이차대사물질 등 유용 물질을 생산한다(김과 최 2014). 이러한 고부가가치 생산력을 가지는 미세조류를 건강보조식품, 수산 양식용 사료, 의약품 등 다양한 응용 분야에 산업적으로 이용하고자 하는 연구개발이 활발히 진행되고 있으나(Hong et al. 2019), 현재까지 몇 종을 제외한 대부분의 관련 연구는 연구 개발 단계 또는 실증화 연구 정도만 수행되고 있으며, 미세조류 대량 배양 시 비용적, 기술적 문제로 인해 충분히 활용되지 못하고 있는 실정이다. 그중에서도 해수와 담수 미세조류의 주요 구성요소로서 지구상에 널리 분포하는 규조류(Bacillariophyceae)는 지구 전체 1차 생산량의 약 40%를 차지하여 미세조류 중에서도 가장 중요한 분류군이며(장 등 2014), 전 세계 탄소 고정량의 20%를 기여하는 것으로 추정되고 있다(Caldwell 2009). 또한 규조류는 다른 미세조류와 다르게 규조 성분의 껍질(frustule)이 사멸한 뒤에도 분해되지 않고 수중에 퇴적토의 형태로 남아 축적되는데, 이것을 규조토라고 하며(홍 등 2020), 여과재나 단열재 등 여러 분야에서 이용되고 있다. 또한 규조류가 합성하는 지방산 중 약 25%가 다불포화지방산(PUFA)으로 구성되고(Lopez et al. 2005), 식물플랑크톤 중 다른 분류군(phylum)에 비해 DHA/EPA 비율이 높은 것으로 알려져 있다(Jónasdóttir 2019).
Chlorophyll-a 및 c (c1, c2) 두 종류의 엽록소를 가지는 규조류는 광합성 보조색소인 카로티노이드 색소계열 7종류(diadinoxanthin, diatoxanthin, violaxanthin, antheraxanthin, zeaxanthin, β-carotene, fucoxanthin)를 함유하고 있으며(Kuczynska et al. 2015), 그중 fucoxanthin은 갈조류와 규조류의 크산토필계 카로티노이드 색소로, 항염, 항산화, 항비만, 항당뇨, 항암 등 인체 건강에 대한 다양한 효능이 입증되어 세계적으로 수요가 증가하고 있다(Seth et al. 2021). fucoxanthin의 상업적 생산을 위해 다시마, 미역, 대황과 같은 거대 갈조류를 이용한 연구가 이루어지고 있으나, 해조류인 갈조류 톳(Hizikia fusiformis)과 미세조류인 규조류 Phaeodactylum tricornutum의 fucoxanthin 함유량을 비교했을 때 미세조류가 약 10배 이상 더 높은 농도를 함유하는 것으로 보고되었다(Kim et al. 2012). 또한 해조류는 주정 추출시 fucoxanthin 이외에도 다당체와 같은 다른 물질이 많아 미세조류 추출 비용보다 정제 비용이 고가이며(이 등 2009), 성장 주기가 길고 fucoxanthin을 추출할 수 있는 종이 국한되어있어 제약이 크다. 그에 반해 규조류는 성장이 빠르고 수중 환경에서 대량으로 분포할 뿐만 아니라 지속적 생산이 가능하고, fucoxanthin 추출 효율이 높다. 최근 미세조류를 통한 fucoxanthin 생산 관련 연구가 활발히 진행되고 있으며, 그중 Chaetoceros gracilis는 2.24 mg g-1, Isochrysis galbana는 6.04 mg g-1, Nitzchia sp.는 4.92 mg g-1을 함유하는 것으로 보고되었다(Xia et al. 2013).
Melosira nummuloides는 저서성 규조류로, 주로 물속 바닥에서 관찰되는데, 돌과 같은 표면에 부착하여 서식하며, 타원형의 세포가 연결된 긴 사상체(filament)를 이루기 때문에 상대적으로 다른 미세조류에 비해 수확이 용이하다는 장점이 있다. M. nummuloides와 관련된 국내 연구로는 넙치 양식용 사료의 첨가제로서 성장 및 면역 촉진 반응에 미치는 영향에 관한 연구(노 등 2020)와 제주도 지하 해수로 배양하여 fucoxanthin의 최적 수확 조건 탐색 및 특성을 분석한 연구(김 등 2022)가 진행되었다. M. nummuloides는 우리나라 전국 연안에 서식하며, 안정적으로 배양할 수 있어, fucoxanthin 추출을 위한 대체 소재로서 이용 가능성이 매우 크나, 순수 배양체를 이용한 실내 최적 배양조건과 관련된 연구는 찾아볼 수 없었다.
따라서 본 연구에서는 M. nummuloides 종주(strain)를 대상으로 다양한 환경 인자에 대한 최적 성장조건을 도출함으로써 향후 대량 배양을 위한 기초자료로 활용하고, fucoxanthin을 보다 더 효율적이고 경제적으로 생산하는데 활용 가능한 실용성 높은 성과를 얻는데 기여하고자 하였다.
2. 재료 및 방법
단종 배양체 확보
제주특별자치도 서귀포시 표선면에 위치한 양식어장의 해수에서 M. nummuloides (KNU-HAPCC-101) 단일 군체를 Pasteur micro-pipette을 이용하여 단종 배양체를 확보하였다. 온도 20°C, 염분 30 psu, 광도 100 µmol photons m-2 s-1 (백색 LED 조명, 연속광)의 항온 항습 배양조건과 고압 멸균한 해수를 기반으로 f/2+Si 배지를 제조하여 직전 세대 배양체를 접종하는 방식의 계대배양을 통해 종주를 유지하였다.
최적 성장 조건 규명
M. nummuloides 종주의 최적 성장조건을 규명하기 위하여 온도, 염분, 광도, 발광다이오드, N:P 비율, f/2 배양액 희석 비율에 대한 성장실험을 수행하였다. 실험 용기로 250 ml 둥근 PC (polycarbonate) 병을 사용하였고 실험 용량은 200 ml, 초기 접종농도는 200 cells ml-1로 설정하였다. 각각의 환경요인별 실험 조건은 Table 1과 같으며, 실험시 해당 환경요인을 변경하여 실험구를 설정하였고, 기본 조건은 온도 20°C, 염분 30 psu, 광도 100 µmol photons m-2 s-1 (백색 LED 조명, 연속광), f/2+Si 배지이었다.
Table 1.
Experimental conditions for growth response of a marine diatom Melosira nummuloides
배양실험 기간 동안 매일 같은 시각에 실험용기에서 일정량(5 ml)을 취하여 Lugol 용액으로 고정한 다음 Sedgwick-Rafter 계수판(S-R chamber)과 광학현미경(Nikon ECLIPSE E100)을 이용해 계수하였다. 또한 지수성장 기간 중에 최대 생물량(maximum biomass)과 성장률(specific growth rate)을 계산하였고, 실험 종료 후 남은 배양체에 대하여 일정량을 취한 후 엽록소 a (chlorophyll-a)를 측정하였다.
3. 결과
수온 및 염분
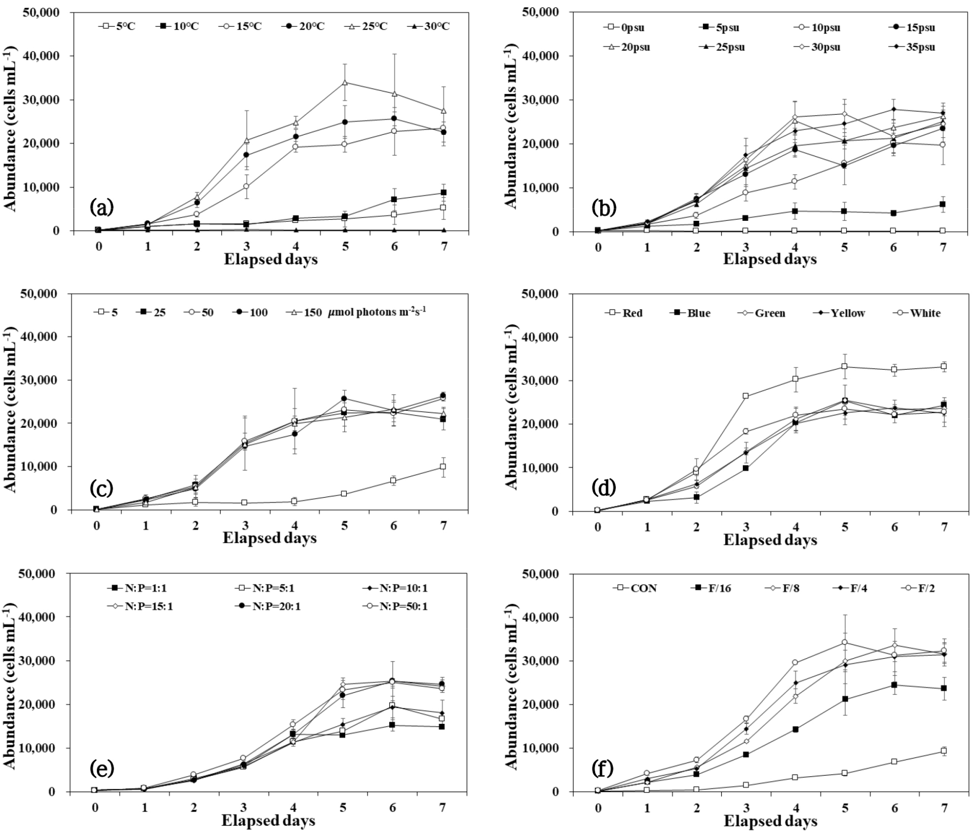
수온 조건별 최대 생물량은 5°C에서 5,200 cells ml-1, 10°C에서 8,692 cells ml-1, 15°C에서 23,433 cells ml-1, 20°C에서 25,650 cells ml-1, 25°C에서 34,050 cells ml-1, 30°C에서 364 cells ml-1로, 30°C를 제외하고 온도가 높을수록 생물량이 많아지는 경향을 보였다(Fig. 1a). 지수성장 시기의 일간성장률은 15°C에서 1.21 d-1, 20°C에서 1.25 d-1, 25°C에서 1.36 d-1로 다른 온도 조건에 비해 유의적(p < 0.05)으로 높은 성장률을 보였으며, 실험 종료 후 엽록소 a 농도는 20°C에서 334.8 µg l-1, 25°C에서 352.0 µg l-1로 다른 온도 조건에 비해 유의적으로 높은 농도를 보였다(Table 2).
Table 2.
Growth rates and chlorophyll-a concentrations of a diatom clone Melosira nummuloides under different temperature
염분 조건별 최대 생물량은 염분 5 psu에서 6,133 cells ml-1, 10 psu에서 20,175 cells ml-1, 15 psu에서 23,517 cells ml-1, 20 psu에서 26,283 cells ml-1, 25 psu에서 25,117 cells ml-1, 30 psu에서 26,750 cells ml-1, 35 psu에서 27,850 cells ml-1로 나타났으며, 0 psu에서는 전량 사멸하였다(Fig. 1b). 일간성장률은 30 psu에서 1.26 d-1으로 가장 높았으며, 엽록소 a 농도는 20 psu에서 346.3 µg l-1, 25 psu에서 356.9 µg l-1, 30 psu에서 323.5 µg l-1로, 20–30 psu의 염분 범위에서 유의적으로 높은 엽록소 a 농도를 보였다(Table 3).
Table 3.
Growth rates and chlorophyll-a concentrations of a diatom clone Melosira nummuloides under different salinity
광도 및 광원
광도별 최대 생물량은 5 µmol photons m-2 s-1에서 9,833 cells ml-1, 25 µmol photons m-2 s-1에서 22,608 cells ml-1, 50 µmol photons m-2 s-1에서 25,688 cells ml-1, 100 µmol photons m-2 s-1에서 26,358 cells ml-1, 150 µmol photons m-2 s-1에서 23,267 cells ml-1로, 25–150 µmol photons m-2 s-1 조건에서 최대 생물량은 유사하게 나타났다(Fig. 1c). 지수성장기의 일간성장률은 광량 세기별로 25–150 µmol photons m-2 s-1 조건에서 일간성장률은 유의한 차이를 보이지 않았으며, 엽록소 a 농도 또한 25–150 µmol photons m-2 s-1 조건에서 유의한 차이가 없었다(Table 4).
Table 4.
Growth rates and chlorophyll-a concentrations of a diatom clone Melosira nummuloides under different light intensities
광원의 파장별 최대 생물량은 적색에서 33,250 cells ml-1, 청색에서 25,360 cells ml-1, 녹색에서 25,530 cells ml-1, 황색에서 23,770 cells ml-1, 백색에서 23,510 cells ml-1로, 적색 파장에서 생물량이 가장 많았고(Fig. 1d), 일간 성장률 또한 적색에서 1.31 d-1로 가장 높은 성장률을 보였다. 그러나, 엽록소 a 농도는 적색에서 108.6 µg l-1로 가장 낮고, 백색에서 364.8 µg l-1로 나타나 차이를 보였다. 또한 실험 종료 후 M. nummuloides의 세포 크기를 측정한 결과, 평균 크기는 적색에서 9.37±0.44 µm, 청색에서 10.58±0.81 µm, 녹색에서 10.77±0.81 µm, 황색에서 10.38±0.72 µm, 백색에서 12.32±0.51 µm로 광원에 따라 세포의 크기 차이를 보였다(Table 5).
Table 5.
Growth rates, chlorophyll-a concentrations, and cells size of a diatom clone Melosira nummuloides under different LED light source
영양염 비율 및 농도
질소와 인 비율(N:P)에 따른 M. nummuloides의 최대 생물량은 1:1 비율 조건에서 15,217 cells ml-1, 5:1 비율 조건에서 19,600 cells ml-1, 10:1 비율 조건에서 19,367 cells ml-1, 15:1 비율 조건에서 25,333 cells ml-1, 20:1 비율 조건에서 25,350 cells ml-1, 50:1 비율 조건에서 25,067 cells ml-1로, 질소의 비율이 높은 15:1, 20:1, 50:1 비율 조건이 다른 조건에 비해 높은 생물량은 보였다(Fig. 1e). 일간성장률은 20:1 비율 조건에서 0.87 d-1로 가장 높은 일간성장률을 보였고, 15:1 비율 이상의 조건과 유의적인 차이가 없었으나, 엽록소 a 농도 기준으로는 5:1 비율 이상에서 유의적인 차이가 없었다(Table 6).
Table 6.
Growth rates and chlorophyll-a concentrations of a diatom clone Melosira nummuloides under different N:P ratios of culture medium
f/2 배지의 농도별 최대 생물물량은 배지가 첨가되지 않은 대조구(control)에서 9,248 cells ml-1, f/16 농도 24,433 cells ml-1, f/8 농도 33,650 cells ml-1, f/4 농도 31,467 cells ml-1, f/2 농도에서 34,233 cells ml-1로 나타났다(Fig. 1f). 일간성장률은 f/4 실험구에서 1.11 d-1, f/2 실험구에서 1.12 d-1로, f/4와 f/2 실험구에서 유의적으로 높은 성장을 보였으며, 엽록소 a 농도 또한 f/4 실험구에서 385.3 µg l-1, f/2 실험구에서 385.2 µg l-1로 높아 다른 실험구와 유의적인 차이를 보였다(Table 7).
Table 7.
Growth rates and chlorophyll-a concentrations of a diatom clone Melosira nummuloides under different dilution ratio of f/2 medium
4. 고 찰
규조류는 부영양화 지역일수록 개체군의 밀도가 높고 세포 내 규산질과 엽록소 a 농도가 높다(Miyajima et al. 1994). 특히, M. nummuloides는 BOD 및 부유 물질과 양의 상관관계를 가지며, 오염도가 높은 연안에서 지배적으로 성장한다고 보고(McLean et al. 1981)했고, 이는 오염의 정도가 심한 연안에서 성장이 가능한 오염 지표종임을 시사한다. 이렇듯 Melosira spp.는 부영양화 환경에서도 적응력이 뛰어나며, 해양 규조류 중 우점도가 높은 종에 속한다(Castenholz 1963). 또한 Melosira spp.는 전 세계적으로 분포하며 이는 다양한 환경 조건에 대한 내성을 갖는다는 것을 의미하고(Thomson et al. 1980), 특히 수온과 염분 변동에 대한 내성이 매우 높은 것을 의미한다(Wulff and Mclntire 1972).
본 연구에서 M. nummuloides는 15–25°C 조건에서 최적 성장을 보였고(p < 0.05), 엽록소 a 농도는 25°C에서 가장 높게 나타났다. 이와 유사하게 Navicula sp.의 최적 성장에 부합하는 온도는 20–25°C로 나타났는데, 이는 저서성 규조류가 다른 종에 비해서 넓은 범위의 온도에 적응이 가능한 특성을 갖는 것을 의미한다(권 등 2011). 또한 Prelle et al. (2021)은 저서성 규조류가 15–20°C에서 최대성장률을 보였다고 보고하였다. 같은 속의 Melosira moniliformis도 21°C에 비해 26°C에서 빠른 성장을 보이며, 상대적으로 높은 온도에서 높은 성장률을 보인다고 알려졌다(Lora-Vilchis et al. 2018). 동일 종을 대상으로 한 연구에서 김 등 (2022)은 17°C와 20°C에서 유의적으로 높은 성장을 하는 것으로 보고해 본 연구보다 다소 낮은 온도를 제시하였다. 따라서 M. nummuloides는 15–25°C 조건에서 배양하는 것이 가장 적합한 것으로 판단되며, 30°C 조건에서 전량 사멸한 점을 볼 때, 산업적으로 활용할 경우 높은 온도에 주의해야된다.
Suryaningtyas et al. (2022)은 염분 10, 15, 20, 25, 30, 35 psu 조건으로 배양한 Melosira sp.의 성장과 지질 생산성에 관한 연구를 통해 저 염분 자극이 지질 생산에 효율적인 영향을 미치지만, 생물량은 높은 염분에서 증가한다고 보고하였다. 또한 M. nummuloides는 염분 변화에 대한 내성이 강한 광염성 종이나 매우 낮은 염분에서는 성장할 수 없는 해양성 규조류의 특징을 가지며, 높은 염분에서 상대적으로 성장률이 높다고 보고된 바 있다(Prelle et al. 2021). 본 연구의 염분 실험에서 0 psu 조건은 사멸하였고 30 psu 조건에서 최대 성장을 보였으며, 10–35 psu의 성장률 또한 높게 나타났다(p < 0.05). M. nummuloides는 앞서 언급한 것처럼 넓은 범위의 염분 조건에 잘 적응하며, 엽록소 a 농도 또한 20–30 psu 조건에서 유의하게 높아(p < 0.05), 일반 연안 환경과 유사한 염분 조건에서 최적으로 성장할 수 있을 것으로 판단된다.
Raharianto (2020)은 Melosira sp.의 성장에 있어 빛과 광주기는 중요한 요소로 작용하며, 4,310 lux (약 74 µmol photons m-2 s-1), 2,230 lux (약 38 µmol photons m-2 s-1)에서 성장을 비교한 결과, 2,230 lux에서 세포의 성장과 규산염 및 인산염의 흡수가 더 높게 이루어진다고 보고하였다. 또한 명암주기는 연속 광 조건일 때 엽록소 a와 카로티노이드 농도가 증가했으며, 이는 연속 광 조건이 M. nummuloides의 유용 물질 생성에 더 효과적임을 나타냈다. 본 연구의 광도 실험 결과, 25–150 µmol photons m-2 s-1 조건에서 유사하게 성장하는 경향을 보였고(p < 0.05), 엽록소 a 농도 또한 높게 나타나, 광도에 큰 영향을 받지 않고 상대적으로 저광도 조건에서도 효율적으로 성장하는 저서 규조류의 특징을 갖는 것으로 판단된다.
발광다이오드(LED)를 이용한 M. nummuloides의 성장실험 결과, 적색(630 nm)에서 가장 높은 생물량과 일간성장률을 보였던 반면, 청색, 녹색, 황색, 백색은 이보다 낮은 생물량과 일간성장률을 보이면서 서로 유사한 것으로 나타났다. 또한 세포 크기를 측정한 결과, 적색 LED 실험구의 세포 크기가 백색 LED 실험구에 비해 소형인 점이 확인됨에 따라 Schulze et al. (2014)의 연구 결과와 같이 적색 파장이 미세조류의 높은 성장을 촉진시키며, 급속한 성장으로 인해 세포의 크기가 작아지는 결과를 얻었다. 또한 식물플랑크톤의 엽록소 a 농도와 세포수 및 생체량과의 상관관계에 관해 두 가지 관점이 보고되고 있는데, 주 등 (2011)은 엽록소 a 농도는 생체량보다는 세포수와 상관관계가 더 높다고 보고하였고, Jin et al. (1998)은 엽록소 a 농도는 출현 밀도의 차이보다 우점종의 생체량과 그 안에 포함되는 엽록소의 함량 문제로, 일반적으로 엽록소 함량은 세포 밀도, 광량, 수온, 영양염 등 서식 환경에 따라 다른 양상을 나타내고, 특히 광량에 따라 변화한다고 보고하였다. 본 연구에서 적색 파장보다 세포의 크기가 큰 백색 파장에서 엽록소 a 농도가 높게 나타난 점을 볼 때, M. nummuloides는 chlorophyll-a와 생체량 간의 상관관계가 더 높은 것으로 판단된다. 그리고 엽록소 a는 주로 660 nm와 429 nm 파장의 빛을 효과적으로 흡수하는데, 이는 적색(630 nm)과 청색(460 nm) 파장에 해당되며, 백색광은 이 두 개의 파장을 포함하기 때문에 엽록소 a 농도가 가장 높게 나타난 것으로, 파장대에 따른 엽록소 a의 축적률에 차이가 있는 것으로 판단된다(안 등 2014). 따라서 적색광을 이용해 M. nummuloides의 빠른 성장을 유도하고, 청색광으로 색소체의 함량을 증진시키는 광원 교대 실험도 고려할 수 있을 것으로 생각된다.
미세조류에 있어 질산염과 인산염의 농도는 서식에 적합한 환경을 결정하며, 해수로부터 영양염을 흡수하고 세포성분을 구성하는 성장에 필수적인 요소로 작용한다(안 등 2013). Redfield ratio는 해양 유기물의 평균 조성과 호흡하는데 필요한 산소를 의미하고(Lenton and Watson 2000), 일반적으로 C:N:P=106:16:1로 나타나며, 일반적인 미세조류의 성장 최적 비율은 16:1로 알려져 있다. 그러나 와편모조류의 경우 Gymnodinium sp.는 6:1 (NO3), Gonyaulax polygramma는 4–8:1 (Dissolved Nitrogen, 이하 DN), Prorocentrum minimum은 4–13:1 (DN)로 20:1보다 낮은 비율, 규조류의 경우 Skeletonema costatum은 15–30:1 (DN), Cylindrotheca closterium은 160:1 (NO3)로 20:1보다 높은 비율에서 효율적으로 성장하며, 종에 따라 적합한 N:P 비율과 질소의 형태가 다르다(Zhang and Hu 2011). 본 연구의 N:P 비율 실험 결과, 15:1–50:1 조건에서 유의적으로 높은 성장을 보였고(p < 0.05), 엽록소 a 농도는 5:1–50:1 조건 간에는 유사하게 나타났다(p < 0.05). Rehmanju et al. (2022)은 규조류 Phaeodactylum tricornutum의 배양 시 질소 함량이 높을수록 바이오매스가 증가하고, EPA 및 fucoxanthin과 같은 대사물질 생산 효율을 증진한다고 보고하였다. 따라서 M. nummuloides는 15:1 이상의 N:P 비율 조건에서 배양하는 것이 적정하나, fucoxanthin의 함량을 증가시키기 위한 N:P의 적정 비율 연구가 필요하다고 판단된다.
미세조류의 배양 시 미량금속 및 비타민이 포함된 배양액 제조를 통해 영양염을 공급하는데 이는 대량 배양할 때 비용적 측면에서 부담이 크며, 미세조류의 일반적인 배양에 사용되는 f/2 배지의 경우 질소와 인의 공급량을 줄이면 전체 비용의 약 45% 이상을 절감할 수 있는 것으로 알려졌다(강 2016). 본 연구의 배양액 희석 비율 실험 결과, f/4와 f/2 배양액을 투여했을 때 최적의 성장을 보였으며, 엽록소 a 농도 또한 f/4와 f/2 배양액에서 가장 높았다. 따라서 비용 절감 측면을 고려할 때 f/2 배양액을 1/2로 줄인 f/4 배양액 수준의 농도가 적정할 것으로 판단된다.
본 연구는 M. nummuloides의 온도, 염분, 광도, 발광다이오드, N:P 비율, 배양액 희석 비율에 따른 최적 성장조건을 도출하여 바이오매스 및 fucoxanthin의 경제적 대량생산을 목적으로 진행하였다. M. nummuloides는 온도 15–25°C, 염분 30psu, 광도 25 µmol photons m-2 s-1 이상의 조건이 성장에 적합하다. f/2 배양액의 N:P 비율은 16.9:1로, 최적 성장을 보인 15:1 이상의 N:P 비율 조건과 유사하다. 또한 f/4와 f/2 배양액에서 최적의 성장을 보였고, 엽록소 a 농도가 높은 것으로 볼 때, f/4 수준의 저농도 배양액을 사용하면 저비용 생산이 가능할 것으로 판단되기 때문에 본 연구 결과를 M. nummuloides의 효율적인 대량생산을 위한 기초자료로 사용할 수 있을 것으로 기대된다.



