1. 서 론
2. 자료 및 분석
CMIP6 및 검증자료
평가 방법
3. 결 과
표층 엽록소 농도의 계절변동 재현성 평가
해양 이산화탄소 분압(pCO2)의 계절변동 재현성 평가
CMIP6 모델의 성능 평가
4. 결 론
1. 서 론
북서태평양은 대기 중 CO2 흡수원의 핵심 해역으로 총 해양 CO2 흡수의 약 25%를 차지함으로써 전 지구 탄소순환에 중요한 역할을 한다(Takahashi et al. 2009). 북태평양 아열대 순환계와 아한대 순환계의 영향으로 북서태평양에서는 다양한 해류시스템이 존재하며, 이들 해류는 해수의 물리 및 생지화학적 수괴형성과 분포에 결정적인 역할을 한다(Fig. 1). 북서태평양의 아열대-아한대 순환류의 경계에는 북쪽으로 흐르는 고온·고염의 영양염이 부족한 쿠로시오 해류와 북쪽에서 남하하는 저온·저염의 영양염이 풍부한 오야시오 해류가 일본 동쪽연안에서 합류하여 동쪽으로 이안하는 쿠로시오 확장역이 형성된다(Qiu 2002). 이 해역은 두 순환류가 만나 혼합되는 전선역으로 활발한 와류활동으로 인해 해수 및 물질순환, 해양생산성, 해양 탄소순환 등에 중요한 영향을 미친다. 특히, 두 해류가 수렴되는 과정에서 고온의 쿠로시오가 북쪽으로 이동하며 발생하는 냉각효과와 아한대 해수에 대한 생물학적 해양 이산화탄소 분압(pCO2)의 감소 효과가 병치되면서 쿠로시오-오야시오 수렴해역은 강력한 CO2 흡수력을 나타내는 것으로 알려져 있다(Takahashi et al. 2002). 또한, 전선역에서 발생하는 활발한 와류활동은 심층의 영양염을 표층으로 운반하여 식물플랑크톤 증식을 촉발시키고(Shiozaki et al. 2014), 이로 인한 생물학적 과정을 통해 표층의 용존 무기탄소의 농도를 낮추기 때문에 해양이 더 많은 대기 중 CO2를 흡수할 수 있는 능력을 갖게 한다(Shiomoto 2000; Shiozaki et al. 2014).
동중국해는 북서태평양의 대륙주변해역 중에서 가장 넓은 대륙붕을 포함하는 해역으로 육지로부터 유입되는 담수의 직접적인 영향으로 해양 탄소순환에 중요한 역할을 담당하는 핵심 지역이다. 동중국해로 유입되는 전체 강 유량의 약 90%를 차지하는 양자강은 많은 양의 영양염 및 육지기원 물질을 동중국해로 공급함으로써 해양 생태-환경 변화에 다양한 영향을 미친다(Beardsley et al. 1985; Moon et al. 2010). 특히, 양자강의 유량이 급격히 증가하는 여름철에는 해양으로 운반된 대량의 영양염에 의해 생물학적 생산이 활발해짐에 따라 대기 CO2의 흡수원에 중요한 역할로 작용한다(Zhai et al. 2007; Zhai and Dai 2009). 최근 수치모델을 활용한 연구는 해류 및 조석에 의한 물리적 혼합과 생물학적 활동의 결합과정을 통해 양자강 저염분수 내에서 CO2 흡수력의 시·공간적인 변화가 크게 변형될 수 있음을 보이기도 했다(Kim et al. 2025b). 북서태평양과 연결된 반폐쇄성 해역인 동해 또한 대기 중의 CO2를 흡수하여 심해로 저장하는 역할을 하며, 전 세계 탄소순환에서 중요한 기능을 수행한다. 대양과 비교해 짧은 시간규모를 갖는 동해의 열염순환은 차가워진 표층수가 CO2를 흡수하여 심해로 운반되게 함으로써 동해의 탄소 저장 능력을 촉진시키는 것으로 알려져 있다(Kim et al. 2001). 이처럼 북서태평양은 생지화학적 과정과 해수와 대기 간의 CO2 교환이 활발하게 일어나는 주요 해역으로, 기후 변화의 영향이 뚜렷하게 나타나는 해역 중 하나이다. 또한, 이 해역은 한반도 주변 해역의 해양환경 변화와도 밀접하게 연계되어 있어, 북서태평양의 탄소순환 특성을 이해하는 것은 기후변화 대응, 해양생태계 및 해양환경 예측 측면에서도 필수적이다. 하지만 관측자료의 부족과 불확실성, 복잡한 해양-대기 상호작용 및 생지화학적 과정 등으로 북서태평양의 해양 탄소순환을 정확히 재현하고 예측하는 연구는 여전히 제한적이다.
결합모델 상호비교 프로젝트(Coupled Model Intercomparison Project Phase, CMIP)모델은 과거를 재구성하고 복잡한 상호작용을 재현하기 때문에 전 지구 기후변화 시나리오에 따른 미래변화를 예측하는 연구에 활발히 활용된다. 최근 들어, CMIP을 활용한 북서태평양에 대한 연구는 이루어지고 있으나(Lee et al. 2023; Jin et al. 2023), 대부분이 기온, 강수량, 해수면온도, 해류 등 대기 및 해양물리 변수들에 대한 분석에 국한되어 있고, 특히 엽록소 농도와 pCO2와 같은 생지화학 변수에 대한 연구는 열대 태평양 및 인도양(Mohanty et al. 2024; Wong et al. 2022)을 제외하면 거의 수행되고 있지 않다. 이는 지구시스템 모델의 낮은 공간해상도, 복잡한 해양-대기 상호작용, 단순화된 생태계 구조, 동·식물 플랑크톤 기능군의 다양성에 대한 제한적 표현, 생물학적 펌프 과정과 철 및 영양염과 같은 핵심 생지화학 과정의 제한적인 표현 등 모델 내 생지화학 과정의 다양한 한계로 인해 지역해에서 상대적으로 높은 불확실성에 기인한다. 동시에 CMIP에 참여하는 다양한 지구시스템 모델들은 각기 다른 해양 물리 및 생지화학 구성 요소를 포함하고 있어 모델 간 성능 차이가 크고 불확실성이 존재한다. 따라서 CMIP 모델을 활용한 북서태평양의 탄소순환 연구는 각 모델 성능을 관측자료와 비교함으로써 해당 모델이 북서태평양의 해양 물리 및 생지화학적 특성을 얼마나 잘 모의하는지에 대한 평가가 선행되어야 한다. 또한, 역학적 규모축소의 초기 및 경계 자료로 활용하기 위해서도 CMIP 모델이 현재 기후 상태를 얼마나 신뢰성 있게 모의하는지 평가하여 미래 기후 예측의 불확실성을 확인할 필요가 있다. 본 연구에서는 CMIP6에 참여한 9개의 지구시스템 모델의 산출물을 활용하여 북서태평양의 표층 엽록소 농도와 pCO2의 계절 변동성 재현 능력을 평가하였다.
2. 자료 및 분석
CMIP6 및 검증자료
본 연구에서 CMIP6의 표층 엽록소 자료와 pCO2 자료의 과거기간 평가를 위하여 두 변수가 모두 존재하는 9개 지구시스템 모델의 결과를 사용하였다(Table 1). 과거 기후(historical) 모의 실험의 산출 자료는 산업 혁명 이후 태양 변동성과 화산 에어로졸과 같은 자연적 요인과 온실가스 등의 인위적 요인에 의해 강제되며, 1850년부터 2014년까지의 기간을 포함한다. 모델 간의 일관된 비교를 위해 단일 앙상블(r1i1p1f1)자료를 사용하였으며, 이는 동일한 초기 조건(r1)과 기본 초기화(i1), 물리 모형(p1), 표준 외력장(f1)을 적용한 시뮬레이션을 의미한다(Taylor et al. 2018). 모델마다 해양-육지 마스크와 해상도가 다르기 때문에 World Ocean Atlas (WOA)에서 제공되는 1° × 1° 마스크를 적용하여 재격자화 과정을 거쳐 분석을 진행하였다.
Table 1.
Summary of CMIP6 models used in this study
CMIP6 표층 엽록소 농도 자료의 공간적 분포 및 계절변동성을 검증하기 위하여 NASA의 Moderate Resolution Imaging Spectroradiometer (MODIS) 센서를 탑재한 Aqua 위성에서 수집된 표층 엽록소 농도 자료를 활용하였다. 사용된 자료는 NASA Ocean Biology Processing Group (OBPG)에서 제공하는 Level-3 Standard Mapped Image 자료로, 공간 해상도는 4 km이다. 위성 기반 해양 색상 자료는 대기 보정 과정에서의 불확실성, 해수 표면 반사율, 그리고 대기 조건 등의 영향을 크게 받기 때문에(Clow et al. 2024), 현장 관측에 비해 편향이 발생할 수 있다는 한계가 있다. 특히, 연안 지역과 같이 CDOM (colored dissolved organic matter) 및 부유 입자 농도가 높은 해역에서는 엽록소 농도가 과대 평가되는 경향이 보고되어 왔다(Hawes et al. 2000; Kim et al. 2025a). 그럼에도 불구하고, 위성 관측은 현장 관측과 달리 넓은 공간 영역을 동시에 관측할 수 있어 대규모 해역의 생지화학 특성을 분석하는 데 매우 유용한 관측 도구이다. 본 연구에서는 북서태평양과 같은 광범위한 영역에서 표층 엽록소 농도의 시공간적 특성을 파악하기 위해 위성 관측 자료를 활용하였다. 본 연구에서 사용한 MODIS-Aqua는 2002년 7월부터 현재까지 지속적으로 해양 색상 정보를 제공하고 있으며, 본 연구에서는 2003년 1월부터 2014년 12월까지의 자료를 검증에 사용하였다. pCO2의 검증 자료로 사용된 자료는 Self-Organizing Map-Feed-Forward Network (SOM-FFN)이다. SOM-FFN 자료는 Landschützer et al. (2013; 2014; 2016)에서 광범위하게 기술되고 검증된 2단계 신경망 기법을 사용하여 생성되었다. 이 기법은 먼저 전 세계 해양을 생지화학적 지역으로 클러스터링하고, 두 번째 단계에서는 CO2 동인 변수와 Surface Ocean CO2 Atlas (SOCAT, Bakker et al. 2016) 자료의 관측치 간의 비선형 관계를 재구성한다. SOM-FFN은 전 지구 해역에서 1° × 1°의 해상도를 가지며 1982년 1월부터 2021년 12월까지의 pCO2의 월평균 자료를 제공하며, 여기서는 1982년 1월부터 2014년 12월까지의 자료를 사용하여 지구시스템 모델의 과거기후(historical) 자료를 검증하였다.
평가 방법
Taylor Diagram Score (TD Score)는 모델과 검증자료 사이의 유사성을 정량화 하는데 사용되는 지표로써 TD Score 값이 작을수록 더 좋은 성능을 가진다는 것을 의미한다(Taylor 2012; Jin et al. 2023). TD Score는 다음과 같이 표현된다.
여기서, , 𝜎과 는 Taylor Diagram를 시각화 하기 위한 세 가지 통계 값, 상관계수, 표준편차, 모델과 검증자료 간의 제곱평균 제곱근(RMS)오차를 나타낸다.
,
과 은 각 격자에서의 모델 항과 검증 항이고, 은 각 항의 전체 격자 수, 오버바는 평균 값을 뜻한다.
TD Score는 지표별로 산출된 점수이기 때문에 지표마다 값의 범위나 분포가 다르며, 값의 크기가 큰 지표가 전체 순위에 더 큰 영향을 미치게 되어 순위 결과가 왜곡될 수 있다. 따라서 TD Score를 순위로 환산하여 절대적인 차이를 제거하고 상대적인 성능을 비교하기 위해서 단일 평가 지표(metric)에 대한 상대적 순위를 표현할 수 있는 지표인 Rating metric (MR, Jiang et al. 2015)와 여러 지표를 종합적으로 고려하는 Total ranking (TR)을 적용하였다(Kim et al. 2020).
여기서, 과 은 지표의 개수와 모델의 개수, 그리고 은 특정 지표에 대한 모델의 순위를 나타낸다.
과 은 MR 계산식과 같고, M은 평가 변수의 개수를 의미하며, 은 평가 변수 에 대한 지표 의 순위를 나타낸다. 평가는 표층 엽록소 농도와 pCO2에 대하여 해역별 및 계절별로 TD Score를 계산한 뒤 모든 해역과 두 변수를 종합하여 최종 TR 값을 산출한다.
3. 결 과
표층 엽록소 농도의 계절변동 재현성 평가
CMIP6 모델들의 계절별 표층 엽록소 농도의 재현성을 평가하기 위해 위성기반 Aqua-MODIS 자료와 비교분석을 수행했으며, 해역별 표층 엽록소 농도의 계절변동성을 Fig. 2에 나타내었다. 관측에서 나타나는 북서태평양의 표층 엽록소 농도는 겨울철 강한 혼합에 의해 표층으로 공급된 영양염이 봄철 일사량 증가와 수온 상승으로 인해 성층이 형성되면서 식물성 플랑크톤의 급격한 성장을 유도하게 된다. 따라서 표층 엽록소는 4월에 최댓값을 보이고, 강한 성층이 형성되는 여름철에는 영양염 공급이 제한되면서 감소하였다가 가을철에 수직적 혼합이 나타나고 영양염이 공급되면서 다시 증가하는 뚜렷한 계절변동성을 나타낸다(black line in Fig. 2a). 대부분의 CMIP6 모델에서 봄철 식물플랑크톤 대증식과 관련된 증가현상은 모의하지만 가을철 증가는 제대로 모의하지 못하는 경향을 보인다. 또한 봄철 엽록소 농도의 증가는 관측과 비교해 한달정도 지연되는 경향을 나타내며, CESM계열(CESM2, CESM2-WACCM, CESM2-WACCM-FV2) 모델들은 검증자료에 비해 엽록소 농도를 2배 이상 과대 모의하는 결과를 보인다(Fig. 2). 동아시아 주변해역인 황·동중국해는 강이나 해저지하수를 통해 육상으로부터 많은 영양염을 공급받는 해역으로 연중 가장 높은 엽록소 농도를 보이며, 봄에 최댓값을 6월에 최솟값을 나타내는 계절적인 특성을 갖는다(black line in Fig. 2b). CMIP6 모델들은 관측에 비해 연중 낮은 엽록소 농도를 보이고 CESM계열 모델을 제외하면 봄철에 증가하는 황·동중국해의 특징을 모의하지 못한다. 황·동중국해와 같이 II형 해역으로 분류되는 연안 지역에서는 높은 CDOM과 부유 입자의 농도로 인해 위성 관측에서 엽록소 농도가 과대 평가될 수 있으며(Kim et al. 2025a), 이로 인해 황·동중국해에서 CMIP6 모델 결과가 관측 대비 전반적으로 음의 편향을 보이는 것으로 나타날 가능성이 있다. 한편, 아열대 해역(10°–35°N)은 연중 가장 낮은 엽록소 농도를 나타내며 황·동중국해와 유사한 계절변화를 보인다(black line in Fig. 2d). CMCC-ESM2, Can ESM5계열 모델은 엽록소의 농도 및 계절성을 유사하게 모의하지만, 나머지 모델들은 특히 봄철에 엽록소 농도를 과대모의 하는 경향을 보인다. 동해와 아극해의 경우 봄과 가을철 두 번의 엽록소 최댓값이 나타나는 특징을 보이지만 모든 CMIP6모델에서 가을철에 증가하는 현상은 모의하지 못한다. 이는 모든 모델에서 고위도 해역에서 나타나는 가을철 식물플랑크톤의 증식현상을 제대로 재현하지 못하고 있음을 의미한다. 동해와 아극해의 경우 EC-Earth3-CC와 CMCC-ESM2 모델이 계절변동성을 가장 잘 모의한다. 전반적으로CMIP6 모델들은 북서태평양 해역의 식물플랑크톤 대증식과 관련된 봄철 엽록소 증가현상은 유사하게 모의하지만, 가을철 증가현상은 모의하지 못하는 특징을 나타내며, 모델별로는 CanESM5계열과 NorESM2계열의 모델들은 전 해역에서 엽록소 농도를 과소 모의하며 계절성도 관측과 큰 차이를 보인다.

Fig. 2.
Time series of monthly mean surface chlorophyll-a concentrations (units: mg/m3) during 2003-2014 derived from satellite-based Aqua-MODIS and nine CMIP6 models. The data were averaged each region over (a) Northwest Pacific, (b) Yellow and East China Seas, (c) East Sea, (d) Subtropics, and (e) Subarctic regions
일반적으로 북서태평양에서는 계절에 상관없이 아열대에서 엽록소 농도가 낮고, 고위도로 갈수록 높아지는 공간적 분포 특징이 나타난다(Figs. 3, 4, 5, 6). 특히 황·동중국해에서 가장 높은 농도를 보이고, 동해 및 오야시오 해류가 분포하는 아극 해역에서도 상대적으로 높은 농도를 나타낸다. 봄철 Aqua-MODIS 엽록소 농도의 공간분포를 보면(Fig. 3), 봄철 식물플랑크톤 대증식으로 인해 황·동중국해, 동해, 아극해 지역에서 엽록소 농도가 높게 나타난다. 대부분 CMIP6 모델에서 이러한 분포 특징은 NorECS2계열 모델을 제외하면 전반적으로 나타나며, CESM2계열의 모델들은 아극 해역에서의 엽록소 농도를 과대하게 모의하는 특징을 보인다. 황·동중국해 및 동해의 높은 엽록소 농도는 CESM2계열 모델에서 가장 관측과 유사한 분포를 나타내는데, 이는 CESM2계열 모델이 상세한 하천 모델을 포함하는 육지모델과의 결합을 통해서 하천 유출량으로부터 해양으로 공급되는 영양염을 반영하기 때문인 것으로 판단된다(Danabasoglu et al. 2020). EC-Earth3-CC모델도 지표면 모델을 사용하여 하천 유량을 표현하고 생지화학 모듈인 PISCES에서 하천 및 대기 침적을 통한 영양염을 고려하기 때문에 황·동중국해에서 관측과 유사한 엽록소 분포를 보이는 것으로 판단된다. 관측과의 공간상관(pattern correlation)계수는 EC-Earth3-CC와 CMCC-ESM2가 0.6이상으로 가장 높고, 다음으로 CESM2계열 모델들이 높은 공간 유사성이 나타난다. 앞에서도 언급하였듯이 NorESM2계열 모델은 위도에 따른 엽록소 분포를 전혀 모의하지 못하며 공간상관 또한 0.1이하로 가장 낮은 재현성을 나타낸다(Fig. 7a).
봄철과 비교해 여름철에는 동해를 포함한 중위도 해역에서 수온 상승에 따른 성층화로 표층 엽록소 농도가 크게 감소하는 특징을 보인다(Fig. 4). 이러한 여름철 엽록소 농도의 감소는 CMCC-ESM2와 EC-Earth3-CC에서 가장 잘 나타나고, CESM2계열 모델은 봄철 고위도 해역에서의 과대 모의 영향으로 여전히 높은 엽록소 농도가 유지된다(Figs. 4 and 7b). 여름철 이후 표층 수온이 낮아지는 가을철이 되면 수층 혼합이 증가하게 되고 좋은 광 조건이 유지되면서 식물플랑크톤의 증식으로 인해 중위도 해역에서 가을철 표층 엽록소 농도가 일시적으로 증가 (Chiswell et al. 2013)하는 경향을 보인다(Fig. 5). 이러한 가을철 엽록소 농도의 증가 분포는 모든 CMIP6모델에서 모의하지 못하며, 특히 30°N 이북에서 관측과 차이가 크게 발생한다(Figs. 5 and 7c). 광 조건이 악화되고 성층이 약화되는 겨울은 아극 해역에서 가을과 비교해 표층 엽록소 농도가 크게 감소하는 경향을 보여 연중 가장 낮은 농도를 나타낸다(Fig. 6). 겨울철 엽록소 농도의 분포는 EC-Earth3-CC모델에서 가장 높은 공간상관(0.82)을 보이는데, 특히 동아시아 주변해역의 높은 농도를 관측과 유사하게 재현한다. 봄과 여름철에 아극 해역에서 과대 모의하던 CESM2계열 모델은 겨울에는 과소 모의하는 경향을 나타낸다. NorESM2계열 모델은 위도에 따른 표층 엽록소 농도의 분포가 검증자료와 반대되는 분포를 보인다(Figs. 6 and 7d).
해양 이산화탄소 분압(pCO2)의 계절변동 재현성 평가
북서태평양은 연평균 낮은 pCO2를 유지하며 높은 CO2 흡수능력을 보이며, pCO2는 수온, 염분, 용존무기탄소(Dissolved Inorganic Carbon, DIC) 등에 의해서 조절되며 뚜렷한 계절변화를 하는 것으로 알려져 있다(Takahashi et al. 2009). 북서태평양 해역의 pCO2의 계절변동성을 확인하기 위해서 SOM-FFN자료와 각 모델결과의 1982년부터 2014년까지 월평균 pCO2에 대한 해역별 시계열 분석 결과를 Fig. 8에 제시하였다.
관측에서 나타나는 북서태평양 전역에 대한 pCO2는 겨울철에 낮고 여름철에 증가하는 뚜렷한 계절변동성을 갖는다(black line in Fig. 8a). 북서태평양 pCO2의 계절변동성은 전반적으로 열역학적 효과를 주도하는 수온에 의해 지배되고 있음을 보여주지만, 해역별로 다른 특징을 나타낸다. 저위도는 pCO2가 수온변화에 따라 계절적인 변동을 보이지만, 고위도 해역, 특히 아극 해역은 겨울철에는 높고 봄에서 여름철에 낮아지는 저위도와는 반대되는 계절변동을 갖는다. 수온이 연중 낮은 아극 해역은 겨울철 강한 바람에 의한 수직혼합과 용승으로 인해 DIC가 풍부한 저층해수가 표층으로 공급되면서 pCO2가 증가하지만, 봄에서 여름사이 식물플랑크톤의 증식으로 인한 생물활동의 증가로 pCO2가 감소하게 된다(Wu et al. 2019). CMIP6 모델들은 북서태평양 전역에서 여름철에 수온을 따라 증가하는 pCO2의 계절성은 모의하지만, 동해를 포함한 아극 해역에서 나타나는 여름철 pCO2 감소 특성은 대부분의 모델에서 재현하지 못한다. 아열대 해역은 pCO2의 진폭과 위상을 비교적 잘 재현하고 있지만, 황·동중국해는 전반적으로 진폭을 과소 모의하는 경향을 보인다. 동해는 겨울에서 봄철에 감소하는 변동성을 모든 모델에서 재현하지 못하며, 아극 해역의 경우도 CESM2계열 모델을 제외하면 봄철에 급격하게 감소하는 특징은 모의하지 못한다. CESM2 계열 모델은 봄철 감소를 모의하지만 관측보다 감소폭이 크게 재현된다. 이는 표층 엽록소 농도를 과대모의 했던 CESM2 계열 모델이 생물활동을 통한 pCO2 소모를 과하게 모의한 결과로 아극 해역에서 pCO2의 변화에 있어 생물활동에 의한 효과가 중요한 역할을 하고 있음을 나타낸다.
관측에서 나타나는 봄철 pCO2의 공간적인 분포 특징은 아열대 해역에서 높고 동아시아 주변해를 포함하는 중위도로 갈수록 낮아져 최소를 보이다가 고위도로 가면서 다시 증가하는 양상을 나타낸다(Fig. 9). 이러한 위도별 pCO2의 변화는 연중 유사하게 나타난다. 중위도 해역은 생물학적 탄소펌프가 효율적으로 작동하여 대기 중의 CO2를 지속적으로 흡수하여 pCO2가 낮게 유지된다(Ishii et al. 2001). 위도에 따른 봄철 pCO2의 변화는 모든 모델에서 잘 재현되지만, 농도는 과소 모의하는 경향을 보인다(Fig. 13a). 특히 동해를 포함하는 중위도 해역에서는 ~50 µatm 이상 낮은 농도를 모의한다. 여름철에는 수온 상승으로 해양의 이산화탄소 용해도 감소로 인해 북서태평양이 전반적으로 높은 pCO2 농도를 나타내지만(Gallego et al. 2018; Lenton et al. 2012), 아극 해역은 봄철 강화된 생물활동의 영향으로 pCO2가 감소하는 양상을 보인다(Fig. 10). CMIP6 모델들은 이러한 여름철 수온상승에 의한 아열대 해역의 pCO2 증가를 재현하지만 대부분의 모델이 과대 모의하는 경향이 있으며, CanESM5계열 모델에서 관측과 가장 큰 차이를 드러낸다. 아극 해역의 경우 CESM2 계열 모델과 CMCC-ESM2모델에서 낮은 pCO2 농도를 비교적 잘 재현하고 있는 반면 높은 표층 엽록소를 모의하지 못했던 나머지 모델들 특히 CanESM5계열(Fig. 4b and c)은 관측보다 높은 농도를 유지하는 특징을 보인다(Figs. 10 and 13b). CESM2계열 모델은 황·동중국해에서 다른 모델들과는 다르게 낮은 pCO2를 나타내는데(Fig. 10f–h), 이는 앞서 언급한 것처럼 CESM2 계열 모델이 강물 유출량으로부터 해양으로 공급되는 영양염을 반영함으로써 생물학적인 pCO2 소모를 재현하는 것으로 생각된다. 가을철에는 수온 감소로 인해 여름철과 공간분포는 유사하지만 상대적으로 낮은 pCO2농도 분포를 보이며, 이러한 특징은 CMIP6 모델에서도 나타난다(Figs. 11 and 13c). 여름철 양상과 비슷하게 CMCC-ESM2와 CESM2계열 모델이 공간적인 분포를 잘 모의하는 반면 CanESM5 계열 모델은 관측과 비교해 과대 모의하는 경향이 두드러진다. 북서태평양의 겨울철은 수온 감소의 영향으로 연중 가장 낮은 pCO2분포를 보이며, 공간적인 분포는 봄철 특징과 유사하게 중위도 해역에서 최소를 나타내는 양상을 나타낸다(Figs. 12 and 13d). 낮은 pCO2 분포는 모든 모델에서 비교적 잘 재현하고 있으나, 저위도에서 고위도로 갈수록 과소 모의하는 경향이 커지는 특징을 보인다.
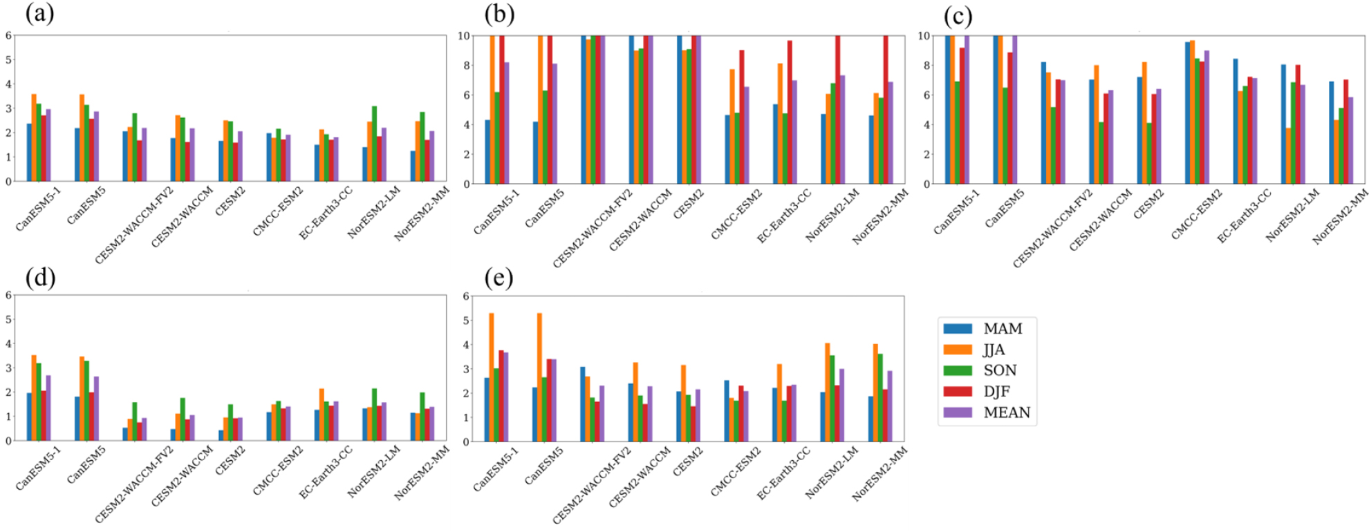
CMIP6 모델의 성능 평가
CMIP6 모델이 북서태평양 해역의 표층 엽록소와 pCO2를 얼마나 잘 재현하는지를 정량적으로 평가하기 위하여 먼저 각 해역별 및 계절별로 TD Score를 평가하였다. TD Score는 공간 상관계수(R), 정규화된 표준편차(σ), 제곱 평균 제곱근(RMS) 오차(E)를 기반으로 모델의 전반적인 재현성을 하나의 수치로 표현하며, 값이 작을수록 모델의 성능이 좋다는 것을 의미한다(Taylor 2001; Jin et al. 2023). 9개의 CMIP6 모델의 표층 엽록소와 pCO2에 대해 북서태평양, 황·동중국해, 동해, 아열대 해역, 아극 해역의 5개 하위 해역에 대해서 각 계절(MAM, JJA, SON, DJF) 및 계절 평균(MEAN)에 대한 TD Score를 Figs. 14 and 15에 각각 나타냈다. 북서태평양 전역에 대한 엽록소의 TD Score는 1–3사이로 모델 간 차이가 크게 나타나진 않지만, 전반적으로 EC-Earth3-CC, CMCC-ESM2, CESM2계열 모델이 좋은 성능을 나타낸다(Fig. 14a). 계절별 성능 차이는 뚜렷한 특징이 없이 모델마다 각기 다른 계절별 모의성능을 보인다. 해역별로 보면 동해에서 전반적으로 높은 TD Score를 보이며, 계절별로는 여름과 가을철이 모의성능이 가장 좋지 않은 결과를 나타낸다. 황·동중국해는 동해와 비교해 TD score가 낮지만 모델 간 차이가 확인되며 CanESM5 계열 모델에서 모의성능이 현저히 떨어지는 결과를 제시한다. 아열대 해역은 모델 간 성능 차이가 가장 크게 나타나며 계절별로도 모델 간 모의성능의 차이가 큰 특징을 보인다. 그 중 CMCC-ESM2와 EC-Earth3-CC는 다른 모델에 비해 현저히 낮은 TD Score를 나타낸다. 아극 해역은 전반적으로 모델 간 성능차이가 크지 않지만 겨울철에 일부 모델에서 큰 차이를 보인다.
pCO2의 경우 북서태평양 전역에서 대부분의 모델이 TD Score가 1.5–3사이로 모델 간 성능 차이가 크지 않지만, CMCC-ESM2와 EC-Earth3-CC 모델이 가장 좋은 성능을 나타낸다(Fig. 15a). 계절별로는 전반적으로 봄철에 가장 낮은 TD Score를 보이는 반면 여름에는 가장 높은 점수를 나타낸다. 해역별로 보면 황·동중국해와 동해는 모든 모델이 높은 TD Score를 보이며, 계절 간의 성능 차이도 가장 크게 나타난다(Fig. 15b and c). 이러한 결과는 CMIP6 모델의 낮은 해상도로 인해 복잡한 지형적인 특성과 물리 및 생지화학적 과정을 재현하는데 제약이 따르기 때문인 것으로 보인다. 또한, 이들 해역은 반폐쇄성 해양환경을 갖는 동아시아 주변해역으로 관측자료가 충분치 않아 불확실성이 크다. 계절에 상관없이 아열대 해역은 CanESM5계열 모델을 제외하면 전반적으로 좋은 모델 성능을 보인다. 아극 해역에서는 대부분의 모델이 여름철에 비교적 높은 TD Score를 나타내는데, 이는 다른 계절에 비해 높은 RMSE와 낮은 공간 패턴에 의한 결과이다(Figs. 10 and 15e 주황색 막대). 북서태평양 전역에 대해서 pCO2에 대한 TD Score는 표층 엽록소 농도의 평가 결과와 유사한 양상을 보이지만, 해역에 따라 모델 간 성능의 차이가 두드러지는 특징을 나타낸다. 이는 각각의 모델이 생지화학적 변수를 모의함에 있어서 해역의 환경 조건에 따라 큰 차이가 존재하고 모든 변수를 일관되게 잘 재현하는 모델이 많지 않음을 시사한다.
TD Score의 결과를 바탕으로 모델 간의 상대적인 재현 성능을 정량적으로 비교하기 위하여 단일 해역 또는 특정 변수에 국한되지 않는 조건 하에서 모델의 상대적인 성능을 판단할 수 있는 MR과 TR 지표를 추가로 산출하였다(Fig. 16). 해역별로 평가된 MR의 결과를 보면(Fig. 16a), 북서태평양 전역과 황·동중국해에서 EC-Earth3-CC가 가장 좋은 성능을 보이고 동해와 아열대 해역에서는 CESM2 계열 모델들이 비교적 높은 순위를 유지한다. 아극 해역에서는 CMCC-ESM2가 큰 차이를 보이며 상위 순위를 나타낸다. CanESM5 계열 모델은 대부분 해역에서 가장 낮은 MR 값을 보이며, NorESM2 계열 모델들도 전반적으로 순위가 하위권에 위치하여 모의성능이 좋지 않은 결과를 제시한다. 표층 엽록소와 pCO2에 대한 MR 결과는 변수 간 모델성능의 일관성 여부를 평가할 수 있는데, EC-Earth3-CC 모델은 두 변수 모두에서 높은 MR 값을 보이면서 일관된 모의성능을 나타냈으며, CMCC-ESM2와 CESM 계열 역시 상위권에 위치하면서 좋은 성능을 나타낸다. 반면 NorESM2 계열 모델과 CanESM5 계열 모델은 두 변수 모두에서 낮은 MR 값을 보여 상대적으로 모델 성능이 저조하다. 해역 및 변수별 MR평가 결과는 좋은 성능을 보이는 모델이 서로 다르기 때문에 두 지표에 대한 결과를 통합하여 하나의 지표로 나타내기 위해 TR을 산출하였다(Fig. 16c). 이 지표는 모델의 종합적인 성능을 단일 값으로 비교할 수 있게 하기 때문에 미래전망 분석을 위한 모델 선정에 있어 기준이 된다. TR평가 결과는 EC-Earth3-CC와 CMCC-ESM2모델이 상위 1, 2위를 차지하고, 다음으로 CESM2계열 모델이 위치한다. 이러한 결과는 시·공간적인 분포 및 MR평가와도 전반적으로 일치하는 결과이다. 반면 CanESM5 계열 모델과 NorESM2 계열 모델은 비교적 낮은 TR 값을 보이며, 모든 조건에서 재현성이 떨어지는 것으로 평가된다.
4. 결 론
북서태평양은 해수와 대기 간의 CO2 교환이 활발하게 일어나는 주요 해역으로, 기후 변화의 영향이 뚜렷하게 나타나는 해역 중 하나이며, 한반도 주변 해역의 해양환경 변화와 밀접하게 연계된다. 북서태평양의 탄소순환의 특성을 이해하는 것은 기후변화 대응과 해양생태계 및 해양환경 예측 측면에서 필수적이지만, 관측자료의 부족, 복잡한 해양-대기 상호작용 및 생지화학적 과정 등으로 북서태평양의 해양 탄소순환을 재현하고 예측하는 연구는 여전히 제한적이다. 지구시스템 모델은 복잡한 해양 물리 및 생지화학적 특성을 파악하는데 유용하기 때문에 해양 순환 및 탄소순환 예측 연구에 많이 활용되고 있으나, 제한된 공간해상도 및 모델 내 생지화학적 과정 등으로 인해 지역적인 재현성에 있어 모델들 간 성능 차이가 크고 다양한 불확실성이 존재한다. 본 연구에서는 CMIP6에 참여한 9개의 지구시스템 모델의 결과를 사용하여 북서태평양에서의 표층 엽록소 농도와 pCO2의 계절 변동성을 분석하고, CMIP6모델들이 정량적인 성능을 통계지수를 활용하여 평가하였다.
전반적으로CMIP6모델은 북서태평양 해역의 식물플랑크톤 대증식과 관련된 봄철 엽록소 증가 현상은 유사하게 모의하지만, 가을철 증가현상은 모의하지 못하는데, 특히 30°N 이북에서 관측과 큰 차이를 드러낸다. 모델별로는 EC-Earth3-CC와 CMCC-ESM2모델에서 관측과 가장 높은 상관관계를 보이며, 다음으로 CESM2계열 모델들이 높은 공간 유사성을 나타낸다. 반면 NorESM2계열 모델은 위도에 따른 엽록소 분포를 전혀 모의하지 못하며 공간상관 또한 가장 낮은 재현성을 나타낸다. CMIP6모델에서 재현하는 북서태평양 해역에 대한 pCO2는 대부분의 모델에서 검증자료와 유사한 계절변동성을 나타내며, 이는 pCO2의 열역학적인 효과를 주도하는 수온변화에 의한 영향을 받기 때문이다. 대부분의 모델들은 수온상승에 따른 여름철 감소현상을 잘 재현하지만, 연중 낮은 수온을 유지하는 고위도 해역에서는 모델 간의 재현성의 차이가 크게 나타났다. 그 중에서 표층 엽록소 농도를 모의하는 모델(CMCC-ESM2, EC-Earth3-CC, CESM2계열)들이 봄철 아극 해역의 pCO2 감소현상을 비교적 잘 재현하는 경향을 보였는데, 이는 고위도 해역에서는 수온 효과와 더불어 생물활동 과정이 pCO2를 모의하는데 중요한 역할을 한다는 것을 보여준다. 모델의 계절 및 해역별 재현 성능을 종합해서 나타낸 TR평가 결과는 EC-Earth3-CC와 CMCC-ESM2모델이 상위 1, 2위로 표층 엽록소와 pCO2의 재현성에 있어서 가장 좋은 결과를 제시하는 반면 CanESM5 계열 모델과 NorESM2 계열 모델은 비교적 낮은 TR 값을 보이며, 모든 조건에서 재현성이 떨어지는 것으로 평가되었다.
CMIP6모델의 표층 엽록소와 pCO2의 평가결과는 북서태평양 전역에 대해서는 전반적으로 검증자료와 유사한 계절변동성을 재현하는 것으로 보이지만, 해역별로는 큰 차이를 나타나는데 특히, 동아시아 주변해인 황·동중국해와 동해에서 두드러진다. 이는 대륙주변해의 복잡한 지형과 바다로 유입되는 육상기원의 물질로 인한 물리 및 생지화학적 과정들이 해상도가 낮은 지구시스템 모델에서 제대로 구현되지 못하기 때문인 때문으로 판단된다. 특히 연안 해역의 생지화학 재현성은 강 유입을 통한 영양염의 양과 유입 경로를 얼마나 현실적으로 표현하느냐에 크게 의존하는데, 전지구 모델에서는 강 유입 영양염이 단순화된 표면 플러스(surface flux)로 적용되어 황·동중국해에서 표층 엽록소가 전반적으로 과소모의되는 경향이 나타난다. 또한 CMIP6 해양 생지화학 모델들은 수직 혼합 및 생태계 구조의 한계로 인해 가을철 식물플랑크톤 대증식을 충분히 재현하지 못한다. 향후 지역 기후 및 생지화학 모델링에서 강을 통해 유입되는 영양염의 현실적인 표현 및 정확한 유량 및 영양염 농도 적용을 위한 관측 자료 확보, 그리고 수직 혼합에 대한 모수화 기법 개선 등의 필요성을 시사한다.
더 나아가 모델의 성능평가를 통해 선정된 모델을 활용하여 북서태평양의 미래 시나리오 결과를 전망하는 경우, 황·동중국해 및 동해에서의 미래전망 결과를 해석함에 있어 주의가 필요해 보인다. 추가적으로 본 연구결과는 CMIP6의 지구시스템 모델결과를 활용함에 있어 편향보정의 필요성을 제시한다. CMIP6 모델들은 평균 상태와 계절 변동성 재현성에서 모델 간 차이를 보이며, 이러한 체계적인 편차는 미래 전망의 불확실성을 증가시킬 수 있다. 따라서 mean bias correction, mean-variance-trend bias correction, quantile mapping bias correction과 같은 다양한 편향 보정 기법을 적용할 경우, 향후 미래 기후 변화 연구에서 모델 간 불확실성을 효과적으로 감소시킬 수 있을 것으로 기대된다. 실제로 기존 연구들은 전지구 모델의 연평균 주기를 관측 및 재분석장에 맞춰 보정한 후 이를 지역 모델의 경계조건으로 사용하여 편향 보정의 효과를 확인하였다(Hoffmann et al. 2016; Grillakis et al. 2017; Xu et al. 2021). 따라서 본 연구에서 적용된 성능평가로 선정된 모델에 대해 편향보정을 적용함으로써 미래 시나리오 및 역학적규모 축소 연구에 활용될 수 있을 것으로 기대된다.

















