1. 서 론
2. 연구방법
통합 파랑예측시스템 구성
연구방법
3. 결 과
전지구 파랑모델의 물리계수 민감도 분석
지역 및 국지연안 파랑모델의 물리계수 민감도 분석
통합 파랑예측시스템의 48시간 예측성능 분석
4. 결론 및 토의
1. 서 론
삼면이 바다로 둘러싸여 있는 우리나라에서 정확한 해상상태의 예보는 필수적이다. 기상청(Korea Meteorological Administration, KMA)은 1992년부터 수치모델을 이용한 파랑예측시스템을 운용 중에 있다(Park et al. 2009). 가장 먼저 도입된 파랑예측시스템은 1세대 파랑모델로서 프랑스에서 개발된 DSA-5 모델을 우리나라 환경에 맞게 적용한 모델이다(Ocean Wave Forecast Model, OFM; 기상연구소 1990; Moon et al. 1998). 이 모델은 80 km의 공간 해상도로 한반도 근해에 대한 파랑예측을 수행하였다(Park et al. 2009). 그러나, 선형모델인 OFM 모델은 파랑의 성분파간의 비선형작용을 고려하지 못하는 문제점을 가지고 있었다(Moon et al. 1998). 기상청은 이를 보완하기 위해 파랑간 비선형작용을 파라미터화 하지 않고 직접 계산하는 3세대 파랑모델인 WAM (Wave Model, The WAMDI Group 1988)을 전지구(GoWAM, 공간 해상도: 1.25° × 1.25°) 및 아시아(ReWAM, 공간 해상도: 0.25° × 0.25°) 영역에 대하여 적용하였다(Moon et al. 1998; Kim 2006; You 2009; Park et al. 2009).
2005년에는 병렬작업이 가능한 슈퍼컴 2호기가 설치되면서 계산시간이 오래 걸리는 복잡한 작업도 가능해졌다(Park et al. 2009; Park and Kang 2012). 이에 따라 기상청은 한반도 근해에 대한 고해상도 파랑예측시스템(CoWAM, 공간 해상도: 1/120° × 1/120°)을 구축하였고, ReWAM의 공간 해상도를 1/12° × 1/12°로 개선하였다. 또한 ReWAM과 CoWAM의 파랑모델을 WAM 모델에서 WaveWatch III 모델(WW3, Tolman et al. 2002)로 변경하여 시범운영을 시작하였다. WW3는 미국 해양대기청(National Oceanic and Atmospheric Administration, NOAA)에서 개발한 3세대 파랑모델로서 WAM 모델과 유사하지만 MPI (Message Passing Interface) 옵션 선택이 가능하고 전후 처리과정이 사용자 친화적이다(Park et al. 2009; Kim and Lee 2018). 이러한 장점 때문에 WW3는 한반도 근해의 파랑 예측 및 모의에 널리 사용되어 왔다(Kim and Lee 2018; Lee et al. 2010; Son et al. 2015; Park and Kang 2012; KMA 2020; You 2009; You and Park 2010; Lee 2015; Seo and Chang 2003).
기상청은 2008년에 WW3 버전 2.22를 전지구(GoWW3), 지역(ReWW3), 및 국지연안(CoWW3)에 모두 적용하여 현업 운영을 시작하였고, 2009년에는 GoWW3의 공간 해상도를 1/2°로 개선하였다. 이때 바람에 의한 에너지 입력 및 쇄파에 의한 에너지 소산과정은 Tolman and Chalikov (1996)의 방식을 사용하였다(Son et al. 2015; You 2019).
현재 기상청에서 운용 중인 파랑예측시스템(Table 1)은 물리적인 옵션 및 모수화 방안이 개선된 WW3 버전 4.18을 기반으로 구축되었고, 에너지 입력 및 소산 과정은 새롭게 추가된 WAM cycle 4 (WAM4)를 사용한다(Son et al. 2015; You 2019). 위와 같이 구성된 현업 파랑예측시스템은 통합모델(Unified Model, UM)을 기반으로 한 전지구수치예보모델(Global Data Assimilation and Prediction System, GDAPS)과 지역예보모델(Regional Data Assimilation and Prediction System, RDAPS)의 해상풍 특성에 맞게 물리계수를 최적화하여 사용되어 왔다.
Table 1.
Summary of the operational wave prediction system (KMA-OP) at KMA. The Coastal WW3 model is divided into 5 regions (BUSN: Busan, DAJN: Dajeon, GAWN: Gangwon, GWJU: Gwangju, JEJU: Jeju)
최근, 기상청은 UM모델을 대체하는 한국형수치예보모델(Korean Integrated Model, KIM)을 개발하였고, 이를 기상청의 현업 기상예측모델로 활용하고 있다. 기상청의 파랑예측시스템도 이에 따라 입력 바람장을 UM에서 KIM으로 바꾸어 사용하고 있다. 일반적으로 파랑모델의 입력 바람장이 바뀌게 되면, 그 바람장의 특성에 맞게 파랑모델을 최적화하여 사용해야 한다(Rascle and Ardhuin 2013; WW3DG 2019). 파랑모델의 최적화는 일반적으로 민감도 실험을 통해 구성된 파랑모델에 적합한 원천항 물리 패키지를 선택하고 그에 맞는 물리계수를 선택하는 과정으로 이루어진다(Liu et al. 2017; Do and Kim 2018; Yuk et al. 2016).
Liu et al. (2017)은 대서양에서 발생했던 허리케인 Ivan (2004) 사례에 대해 파랑모델의 원천항 물리 패키지(package) 및 물리계수에 대한 민감도 실험을 진행하여 허리케인 모의에 가장 좋은 성능을 보이는 패키지를 제시한 바 있다. Do and Kim (2018)은 겨울철 동해안의 너울성 장주기 파의 모의 성능을 높이기 위해 기상청 현업 대기예측모델, 재분석자료, 그리고 WRF (Weather Research and Forecasting) 수치모델의 바람장을 사용하여 SWAN (Simulating WAves Nearshore) 모델을 최적화는 연구를 수행하였다. 그 결과, 기상청 현업 기상예보모델을 입력 바람장으로 사용하고, 파랑모델의 백파 에너지 소산항을 최적화하였을 때 동해안에서 모의된 유의파고, 첨두주기 그리고 평균파향의 오차가 가장 낮음을 보였다. Yuk et al. (2016)도 동해안에서 겨울철 발생하는 너울성 고파의 예측성능 향상시키기 위해 SWAN 모델의 에너지 소산항을 최적화하는 연구를 수행하였다. 한편, Caires et al. (2018)는 SWAN 모델에 Ensemble Kalman Filter 자료동화 방법을 적용하여 한반도 동해안에 파랑예측을 개선하고자 하는 연구를 수행하였다.
본 연구는 KIM으로 변경된 바람 입력장 특성에 맞게 기상청의 현업 파랑예측시스템을 최적화하는 것을 목적으로 한다. 이를 위해 민감도 실험을 통해 바람 입력장의 편차를 보정할 수 있는 풍파성장 파라미터를 최적화하는 연구를 수행하였다. 민감도 실험에 앞서 구 버전의 현업 파랑모델을 WW3 최신버전으로 업그레이드한 후 전지구/지역/국지연안 통합 파랑예측시스템을 구성하였고, 2021년 도입 예정인 슈퍼컴퓨터 5호기의 계산속도를 고려하여 파랑모델의 해상도를 향상시켰다. 구축된 모델의 성능은 ECMWF (European Centre for Medium range Weather Forecast)에서 전 세계 파랑모델 운영기관을 대상으로 비교검증 하는 프로젝트에 사용되는 전 지구 부이관측 자료(Park and Kang 2012)와 기상청 해양기상부이 자료를 이용하여 평가하였다.
2. 연구방법
통합 파랑예측시스템 구성
기상청 현업 파랑예측시스템(KMA Operational wave prediction system, KMA-OP)은 2014년에 발표된 WW3 v4.18을 사용하고 있다(Table 1). 본 연구에서 개발된 통합 파랑예측시스템(Unified WW3, UWW3)은 원천항의 모수화가 향상된 최신 버전의 WW3 v6.07로 상향되었다(Table 2). 모델 구성은 총 세 개의 도메인으로 구성되었으며 각각 전지구(Unified Global WW3, UGWW3), 북서태평양(Unified Regional WW3, URWW3), 한반도(Unified Coastal WW3, UCWW3) 영역을 포함한다(Fig. 1). UGWW3와 URWW3는 현업 파랑예측시스템의 전지구(GoWW3) 및 지역(ReWW3) 파랑모델과 동일한 영역으로 설정되었고(Tables 1 and 2, Fig. 1a and b), 한반도 국지연안에 대한 UCWW3에 경우 기존 현업 파랑예측시스템의 국지연안 모델(CoWW3)에서 5개의 지방 관할청으로 나누어 예보하던 도메인 영역이 하나의 도메인으로 통합되었다(Fig. 1c). 이렇게 구성된 세 개의 도메인은 양방 상호작용(two- way) 하도록 설계되었다. 이 방법은 전지구 도메인과 여러 둥지격자 도메인을 동시에 수행함으로써 저해상도와 고해상도 도메인이 서로 자료를 공유할 수 있는 장점을 가지고 있다(KMA 2020). 참고로 KMA-OP는 저해상도 도메인에서 고해상도 도메인으로 경계자료를 단방향으로 제공하는 방식(one-way)을 사용한다.
Table 2.
Descriptions and information on unified wave model (UWW3) developed for present study
새로 구성된 전지구 파랑모델 UGWW3는 입력되는 GDAPS 바람장의 공간 분해능이 높아지고 슈퍼컴 5호기의 도입으로 수치모델의 계산속도가 빨라짐에 따라 공간 해상도를 1/2° (약 55 km)에서 1/4° (약 25 km)로 두 배 상향하였다. 또한 전지구, 지역, 국지연안 파랑모델 간에 해상도 차이를 최적화하여 모델의 안정도를 높이기 위해 지역 파랑모델인 URWW3의 해상도도 기존의 KMA-OP ReWW3보다 두 배 향상된 4 km로 수정하였다(KMA 2020).
WW3 모델은 Table 1 and 2에 표시된 바와 같이 전체(overall), 공간전파(spatial propagation), 최대굴절(maximum refraction), 그리고 원천항(source term integration)에 대한 네 개의 적분간격을 사용한다(WW3DG 2019). 일반적으로 가장 중요하며 첫 번째로 결정되어야 하는 적분간격은 공간전파에 대한 항이다. 이것은 일명 CFL (Courant-Friedrichs- Lewy) 조건으로 불리며 다음과 같은 식으로 표현된다.
여기서 는 파의 최대 군속도, 는 사용하게 될 적분간격, 는 동서와 남북 방향의 공간증분을 나타낸다. 일반적으로 최대 군속도는 모델에서 분해할 수 있는 최소 주파수를 이용하여 구한 심해파 군속도에 1.15를 곱하여 사용한다. 이 식은 파의 진행 속도가 빨라질수록 단위격자 간격도 줄어들어야 모델의 안정성을 보장할 수 있음을 의미한다. 모델의 안정성을 보장할 수 있는 기준 값은 가 1 이하일 때며, 일반적으로 효율적인 계산시간을 위해서는 1과 가깝게 설정한다. 예를 들어, Table 2에 나와 있는 지역도메인(URWW3)의 공간전파에 대한 적분간격은 현재 도메인의 격자간 거리(1/30° ≒ 3.1 km)와 파랑모델의 최소 주파수(0.04118 Hz)에 대한 파의 최대 군속도를 적용하여 140초로 설정하였다.
두 번째로 정의되는 전체 적분간격은 수치모델의 정확도를 최대로 높이기 위해서는 앞에서 정의된 CFL 적분간격과 같거나 그 보다 작은 값을 사용해야 한다. 그러나 심각한 문제를 야기하는 CFL 조건은 단지 소수의 격자점에서 일반적으로 발생하고, 대부분의 격자점에서는 그러한 엄격한 CFL 조건을 만족할 필요가 없다. 따라서 계산시간을 단축하기 위해서 모델에 따라 보통 CFL 값의 2 ~ 6배를 사용한다. 이때 입력항과 출력항의 시간간격은 전체 적분간격의 배수로 사용하는 것이 좋다. 세 번째로 정의된 최대굴절 적분간격은 모델의 수행시간에 크게 영향을 미치지 않으므로 전체 적분간격 1/2로 사용하면 된다. 마지막 네 번째 원천항의 적분과 관련된 적분간격은 이 값이 커질수록 적분하면서 스펙트럼의 노이즈가 발생할 수 있어 모델의 해상도가 커질수록 적은 값을 사용해야 한다. 그러나 이것 또한 전반적인 모델 계산시간에 큰 영향을 주지 않아, 보통 격자간격에 따라 5 ~ 30 s를 사용한다. 본 연구에서 사용된 각 도메인에 대한 적분간격은 Table 2에 나타내었다.
KMA-OP는 NOAA NGDC (the National Geophysical Data Center)에서 제공하는 지형 및 수심자료인 ETOPO1을 사용하고 있다. ETOPO1의 공간 해상도는 1 arc minute으로 약 2 km의 공간 해상도를 가진다. 본 연구에서는 국지연안 모델 UCWW3의 공간 해상도가 약 1 km임을 고려하여 15 arc second (약 450 m)의 해상도를 가지는 GEBCO (the General Bathymetric Chart of the Oceans, GEBCO)에서 가장 최근에 발표한 GEBCO2020 최신 수심자료로 변경하여 사용하였다. 바람 입력장은 앞서 언급하였듯이 2020년 4월 말부터 기상청에서 운용 중인 공간 해상도는 1/8° (약 12 km) 그리고 1시간 간격으로 내삽된 GDAPS 모델의 해상풍 자료를 사용하였다.
연구방법
구축된 통합 파랑예측시스템은 새로 KIM으로 대체된 GDAPS 모델의 바람 입력자료에 맞도록 원천항 모수화과정 및 물리계수를 최적화하였다. UWW3에 사용된 에너지 입력 및 소산 과정은 WW3 v6.07에서 제공하는 여러 물리 패키지 중 WAM cycle 4 (ST4, Ardhuin et al. 2010)를 사용하였다. ST4는 현업 파랑예측시스템에서도 사용되는 원천항 모수화 과정이다. ST4는 파랑모델 원천항 모수화 패키지 민감도 실험에서 여름철과 겨울철 모두 유의파고 모의에서 가장 낮은 오차를 보여 본 연구에서 선택되었다(KMA 2020).
ST4에서 바람 입력장은 식 (2)과 같이 Janssen (1991)과 Chalikov and Belevich (1993)의 표면파 생성이론을 기반으로 개발된 Bidlot et al. (2005)와 Bidlot et al. (2007)의 방법을 사용한다(Ardhuin et al. 2010).
여기서 와 는 각각 공기와 물의 밀도, 는 풍파 성장 파라미터, 는 마찰 속도, 는 Von Kalman 상수, C는 위상속도, 는 유효 파령, 그리고 는 파수 와 방향 에 대한 스펙트럼 밀도를 나타낸다. 이 식에서 는 선행 연구에서 바람 입력장에 맞게 파랑모델을 최적화할 때 가장 널리 사용되어 온 파라미터이다(Ardhuin et al. 2011; Rascle and Ardhuin 2013; WW3DG 2019). Ardhuin et al. (2011)는 세 가지 재분석장(Climate Forecast System Reanalysis, CFSR; National Centers for Environmental Prediction, NCEP; European Centre for Medium-Range Weather Forecasts, ECMWF)의 해상풍 자료를 이용하여 풍파 성장 파라미터에 대한 민감도 실험을 하였다. 그 결과 ECMWF분석장이 CFSR과 NCEP 분석장보다 풍속을 체계적으로 과소모의 한다는 것을 확인하였고, 이에 맞게 각 재분석장의 맞는 최적 값을 제시하였다(CFSR & NCEP = 1.33, ECMWF = 1.52). 실제 현업 전지구 파랑모델 GoWW3에서 사용하고 있는 값은 1.33으로 Ardhuin et al. (2011)에서 제시한 CFSR과 NCEP에 사용되는 값과 같다(Table 1). 반면 지역 및 국지연안 파랑모델(ReWW3과 CoWW3)은 평균적으로 1.6에 가까운 값을 사용하고 있다. 이는 앞서 언급하였듯이, KMA-OP의 전지구 모델(GoWW3)은 GDAPS를 기반으로 구축되었고, ReWW3와 CoWW3는 RDAPS를 기반으로 구축되었기 때문이다.
개발된 통합 파랑예측시스템에서는 GDAPS 모델의 예측 바람장을 전지구/지역/국지연안 모델에 대하여 모두 같이 사용하기 때문에 세 모델의 풍파 성장 파라미터 값을 모두 달리 사용할 필요가 없다. 그러나 파랑모델의 해상도에 따라 세 모델의 파랑모의 오차와 편차는 달라질 수 있기 때문에 모델마다 변화된 바람 입력장에 적합한 풍파 성장 파라미터 값을 찾을 필요가 있다. 이를 위해, 먼저 GDAPS 모델의 해상풍을 기반으로 UWW3의 전지구 모델(UGWW3)에 대한 풍파 성장 파라미터 민감도 실험을 먼저 진행하였다(Table 3). 그 결과를 바탕으로 지역(URWW3) 및 국지연안(UCWW3) 모델에 대해서도 추가적인 풍파 성장 파라미터에 대한 민감도 실험을 수행하였다.
Table 3.
Design of the sensitivity experiments using various wind-wave growth parameter () values
| Experiments | |
| UGWW3_1.2 | 1.2 |
| UGWW3_1.33 | 1.33 |
| UGWW3_1.4 | 1.4 |
| UGWW3_1.45 | 1.45 |
| UGWW3_1.5 | 1.5 |
통합 파랑예측시스템의 UGWW3에 대한 민감도 실험에 대한 검증은 ECMWF 전지구 계류부이 관측자료를 국립 기상과학원으로부터 6 ~ 8월 기간의 자료를 제공받아 사용하였다(Fig. 2a). URWW3와 UCWW3 모델에 대한 검증은 2020년 8월 한반도 근처에 영향을 준 세 개의 태풍(Fig. 3)에 대하여 기상청 해양기상부이 관측자료를 이용하여 수행하였다(Fig. 2b). 관측자료를 이용한 풍속과 유의파고에 대한 통합 파랑예측시스템의 검증은 편차(Bias), RMSE, 그리고 상관계수(Correlation coefficient)를 이용하여 이루어졌다.
3. 결 과
전지구 파랑모델의 물리계수 민감도 분석
UWW3에 대한 ST4 물리계수 민감도 분석은 UWW3 시스템 중 전지구 모델인 UGWW3에 대해 먼저 수행되었다. Fig. 4는 한 예로 민감도 실험에 사용된 GDAPS의 2020년 8월 26일 00 UTC 해상풍 분포와 이를 이용하여 현업 전지구 파랑모델(KMA-OP GoWW3)과 UGWW3로 모의한 유의파고 분포를 나타낸다. 두 모델은 전반적으로는 매우 유사한 분포를 보이지만 그 차이를 구해보면(Fig. 4d) 대부분의 지역에서 KMA-OP (GoWW3)이 UGWW3보다 유의파고를 더 크게 모의하는 것을 확인할 수 있다. 특히 이러한 경향은 수심이 깊은 대양과 남빙해 등에서 크게 나타났다. 민감도 실험은 Table 3과 같이 구성되었으며 그 결과는 KMA-OP GoWW3과 다양한 값을 사용하여 UGWW3 모델에서 계산된 유의파고의 RMSE와 Bias를 비교하여 Table 4와 Fig. 5에 나타내었다. 여기서 UGWW3_1.33은 파랑모델의 풍파 성장 파라미터 값을 KMA-OP의 GoWW3와 같은 1.33으로 설정한 실험을 나타내고, 나머지 실험은 값을 각각 1.2, 1.4, 1.45, 1.5로 설정한 실험을 말한다. 파랑모의는 태풍이 발생한 기간을 포함한 2020년 6 ~ 8월 총 3개월에 대해 수행되었고, ECMWF 전지구 부이 관측 자료와 비교 및 검증을 통해 각 실험의 유의파고 성능을 평가하였다(Table 4, Fig. 5).
Table 4.
RMSE and Bias for wind speed (ms-1) and significant wave height (m) in which the results of UGWW3 using various wind-wave growth parameter () are compared with KMA-OP (GoWW3). Simulation period is from June to August 2020

Fig. 5.
Scatter plots of significant wave height simulated from sensitivity experiments against ECMWF global buoys from Jun to August 2020: (a) KMA-OP (GoWW3), (b) UGWW3_1.33, (c) UGWW3_1.2, (d) UGWW3_1.4, (e) UGWW3_1.45, (f) UGWW3_1.5. Thick lines and linear functions represent the linear regression of two data. Bias, RMSE, correlation coefficient, the number of data are indicated in the upper-left corner
Fig. 6은 전체 기간에 대한 ECMWF 전지구 계류부이의 풍속 관측자료와 GDAPS 모델 해상풍 분석자료와의 산점도를 나타낸다. 여기에서 GDAPS 바람장의 RMSE는 약 1.438 ms-1 그리고 Bias는 0.19 ms-1 로 나타났다. 월별 오차분석에서는 태풍이 많이 발생했던 8월에 가장 높은 RMSE를 보였고, Bias도 0.4 ms-1 로 커졌다(Table 4). 이 결과는 실험기간 동안 GDAPS 모델이 관측에 비해 풍속을 다소 강하게 모의 하는 경향이 있음을 나타낸다. 이 바람장을 이용한 풍파 성장 파라미터의 민감도 실험에서 얻은 유의파고에 대한 오차분석 결과를 보면, 평균적인 모의성능은 전체 실험 중 UGWW3_1.33 실험이 RMSE가 0.259 m로 가장 좋은 모의성능을 보였다(Table 4, Fig. 5). 월별 분석에서도 6월을 제외한 모든 기간에서 UGWW3_ 1.33 실험이 가장 낮은 RMSE를 보였다(Table 4). UGWW3_ 1.33는 KMA-OP (GoWW3)와 같은 1.33의 값을 사용하였지만 RMSE 오차가 약 19.8% 개선되었다. 이것은 새로 구축된 UGWW3가 파랑모델의 공간 해상도 변경(55 km → 25 km)과 수심자료의 공간 해상도 변경(1 arc minute → 15 arc second), 그리고 파랑모델의 버전 업그레이드(v4.18 → v6.07)에 따른 원천항 모수화 개선 등이 유의파고 예측성능 개선에 기여한 것으로 사료된다. 이러한 결과는 민감도 실험에서 UGWW3_1.33 뿐 아니라 다른 값을 사용한 UGWW3의 실험에서도 모두 KMA-OP (GoWW3) 보다 RMSE 오차가 낮았던 것으로부터 유추 가능하다. Bias 분석에서는 가 1.4와 1.45일 때 전체적으로 가장 낮은 값을 보였다. 또한 값은 1.4를 기준으로 편향의 경향이 반대로 바뀌었다(Table 4, Fig. 5).
Fig. 7은 첨두주기(peak period)에 대한 풍파 성장 파라미터의 민감도 실험 결과를 나타낸다. 그림은 각 실험에 대한 첨두주기의 밀도를 나타내며 부이자료와의 Bias, RMSE, 상관도를 같이 표시하였다. 유의파고에 대한 평가와 마찬가지로 첨두주기에 대한 결과에서도 UGWW3의 모든 실험이 현업 파랑 전지구모델의 오차보다 낮게 나타났다. 특히 풍파 성장 파라미터의 값을 1.2로 설정했을 때(Fig. 7c) Bias와 RMSE는 각각 1.07 s, 2.842 s로 가장 낮은 오차를 보였고, 값이 커질수록 그 오차가 커지는 경향을 확인할 수 있었다.
첨두주기에 대한 평가에서는 를 1.2로 설정했을 때 가장 낮은 오차를 보였지만, 현업에서 사용되는 파랑모델에 대한 평가는 기본적으로 유의파고의 RMSE를 기준으로 하고 있고 다른 파라미터의 평가에서도 전체적으로 좋은 성능을 보여야 한다. 따라서 본 연구에서는 파고의 RMSE에서 가장 좋은 성능을 보였고, 첨두주기에 대한 평가에서도 전체 실험 중 두 번째로 좋은 결과를 보인 1.33값을 최종적으로 선택하였다.
지역 및 국지연안 파랑모델의 물리계수 민감도 분석
앞서 전지구 파랑모델 UGWW3에서 선택된 값(1.33)을 이용하여 지역(URWW3) 및 국지연안(UCWW3)에 대한 민감도 실험을 수행하였다. 이 실험은 UWW3의 전체 시스템(전지구/지역/국지연안 파랑모델)에 대해 모두 적용하였고 2020년 8월 한반도에 영향을 준 세 개의 태풍시기에 대해서 수행되었다. Figs. 4 and 8은 한 예로 2020년 8월 26일 00 UTC에 8호 태풍 바비가 한반도에 접근하였을 때 전지구/지역/국지연안 파랑모델이 모의한 유의파고 분포를 나타낸다. Fig. 3은 2020년 8월에 한반도에 영향을 미친 태풍 하구핏, 장미, 바비의 이동경로를 나타낸다. UWW3 모델을 이용한 풍파 성장 파라미터의 민감도 실험은 크게 두 가지로 진행하였다. 첫 번째 실험은 현업 파랑예측시스템과 유사한 값을 사용한 실험이다. 즉, UGWW3는 1.33으로 설정하였고, 나머지 URWW3와 UCWW3는 KMA-OP에서 평균적으로 사용된 1.65로 설정하였다(URCWW3_1.65). 나머지 실험은 UGWW3에 대한 민감도 실험에서 가장 낮은 오차를 보였던 값(1.33)을 UGWW3, URWW3, UCWW3에 모두 같게 설정하였다(URCWW3_1.33).
비교 및 검증은 한반도 주변에 위치한 기상청 해양기상부이의 1시간 간격 관측자료를 이용하였다(Fig. 2b, Figs. 9 and 10). Fig. 9는 2020년 4호 태풍 하구핏과 5호 태풍 장미가 한반도에 영향을 미친 2020년 8월 1일 00 UTC부터 8월 12일 00 UTC까지 해양기상부이 관측자료와 모델값을 비v교한 것이다. 여기서 왼쪽그림은 GDAPS의 해상풍 자료와 각 부이의 풍속을 그리고, 오른쪽 그림은 URCWW3가 모의한 유의파고를 관측값과 비교한 것이다. Fig. 10은 비슷한 그림으로 2020년 8호 태풍 바비 시기를 보여준다(2020년 8월 22일 00 UTC–8월 28일 00 UTC).
두 그림에서 알 수 있듯이 대부분의 부이 관측지점에서 KMA-OP의 값과 유사하게 설정한 URCWW3_1.65 실험이 UGWW3에 최적화된 값으로 설정된 URCWW3_ 1.33 실험보다 대부분 유의파고를 더 높게 모의하는 경향을 보였다(Figs. 9 and 10). 특히, 태풍이 한반도에 근접하면서 높은 풍속을 나타내던 시기(Fig. 9에서 8월 10일, Fig. 10에서 8월 25일–27일)에 이러한 경향이 더 뚜렷하게 나타냈다.
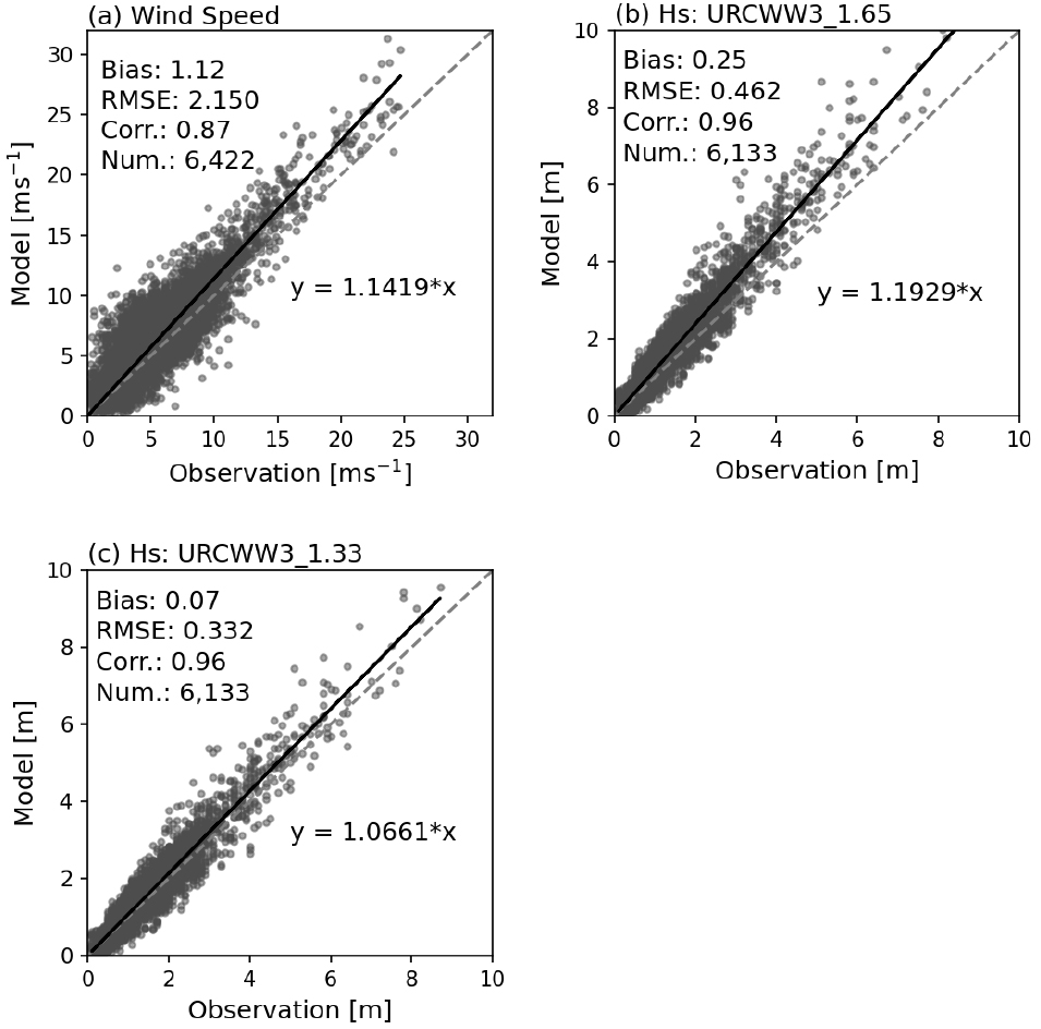
이와 같은 결과는 태풍 전체기간에 대한 각 실험의 산점도 비교에서도 확인할 수 있다(Fig. 11). 태풍기간에 대한 GDAPS 해상풍 자료는 RMSE와 Bias가 각각 오차가 2.15 ms-1와 1.12 ms-1로 실제 관측값보다 다소 강하게 바람을 모의하는 경향을 보였다(Fig. 11a). 특히, 10 ms-1 이상의 풍속에서 상대적으로 차이가 크게 나타났다. 이러한 예측 바람장을 이용하여 모의된 URCWW3_1.65의 결과에서는 RMSE와 Bias가 0.462 m와 0.25 m를 보인 반면, URCWW3_1.33은 RMSE와 Bias가 0.332 m와 0.07 m로 나타나 URCWW3_1.65보다 각각 약 28%와 72% 성능이 개선되었다. 이것은 지역 및 국지연안 도메인의 값을 1.65에서 1.33으로 낮추는 것이 파랑모델의 오차와 편향을 줄이는데 도움이 될 수 있음을 의미한다.

Fig. 11.
Scatter plots of (a) wind speed and (b, c) significant wave height from sensitivity experiments against KMA buoys during the period of the typhoons on August 2020. For significant wave height, the results of URCWW3 using of (b) 1.65 and (c) 1.33 are presented. Thick lines and linear functions represent the linear regression of two data. Bias, RMSE, correlation coefficient, the number of data are indicated in the upper-left corner
통합 파랑예측시스템의 48시간 예측성능 분석
앞선 민감도 실험을 통해 UWW3의 전지구/지역/국지연안 모델의 값을 1.33으로 설정했을 때 유의파고의 모의성능이 가장 많이 개선된 것을 확인할 수 있었다. 따라서 UWW3의 모든 모델의 값을 1.33으로 설정한 파랑모델과 GDAPS의 예측 바람장을 이용하여 2020년 8월에 대하여 실제 48시간 예측을 수행하였고, 그 결과를 현업 파랑예측시스템(KMA-OP)과 비교하였다. Fig. 12는 2020년 8월 한 달간 마라도 부이에서 관측된 유의파고와 본 연구에서 개발된 통합 파랑모델의 예측결과(하루에 두 번 48시간 예측결과)를 비교한 것이다.
오차 분석 결과, 대부분의 예측시간에서 UWW3의 유의파고 예측성능은 KMA-OP 보다 개선된 것을 확인할 수 있다(Fig. 13). KMA-OP는 모든 예측시간에 대해 0.33 m 이상의 RMSE를 보였고, 특히 48시간 예측에서는 0.455 m의 오차를 보였다. 반면, 새로 구축된 UWW3는 모든 예측시간에서 0.39 m 이하의 RMSE를 보였고, 전체적으로 KMA-OP에 비해 13.4 ~ 17.7%의 예측 개선율을 확인할 수 있었다. Bias 분석에서는 KMA-OP의 경우 모든 예측시간에서 0.095 ~ 0.15 m로 양의 편향 특성이 뚜렷하게 나타났지만, UWW3은 대부분 0.02 m 이하로 편향 경향이 거의 나타나지 않았다. 이러한 결과는 새로 개발된 통합 파랑예측시스템의 값을 모두 1.33으로 설정할 경우 48시간 예측에서도 기존의 파랑모델보다 성능이 개선됨을 나타낸다. 따라서 실제 현업 예측에도 본 시스템을 사용할 경우 보다 향상된 파랑 예측성능을 기대할 수 있을 것으로 사료된다.
4. 결론 및 토의
본 연구에서는 기상청 현업 파랑예측모델의 바람 입력장으로 사용되는 GDAPS 해상풍(KIM 기반)의 예측 특성과 계산속도가 향상된 슈퍼컴퓨터 5호기의 도입 등을 고려하여 이에 최적화된 전지구, 지역, 그리고 국지연안에 대한 새로운 통합 파랑예측시스템을 구축하였다. 이를 위해 전지구와 지역 파랑모델 그리고 모델의 수심자료를 고해상도로 변경하였고, 5개 지방 관할청으로 나누어져 있던 국지연안 도메인을 한반도 전체를 포함하는 하나의 영역으로 통합하였다. 또한 원천항의 모수화가 향상된 WW3 v6.07로 버전을 업그레이드하였으며 저해상도 도메인과 고해상도 도메인 사이의 경계자료를 공유할 수 있는 양방향 상호작용 시스템을 구축하였다.
먼저 구축된 통합 파랑예측시스템을 이용하여 전지구 도메인에 대한 풍파 성장 파라미터() 민감도 실험을 수행하였다. 그 결과, 기존 기상청 현업 파랑예측모델 KMA-OP (GoWW3)에서 사용하고 있는 값(1.33)을 통합 파랑예측시스템에 적용했을 때 가장 성능이 좋았다. 추가적인 민감도 실험을 통해 지역 및 국지연안 모델에서도 값을 1.33으로 설정했을 때(URCWW3_1.33) 가장 파랑모의 성능이 좋았다. 이렇게 최적화된 새로운 통합 파랑예측시스템을 이용하여 2020년 8월 한 달 동안 48시간 파랑예측을 한 결과 KMA-OP와 비교하여 모든 예측시간에서 유의파고 예측이 13.4 ~ 17.7% 개선되었다.
본 연구에서 새로운 통합 파랑예측시스템이 기존의 현업 예측시스템보다 우수한 성능을 보여주긴 하였지만 변경된 요소들이 각각 파랑모델의 성능개선에 얼마만큼 기여했는지 정량적으로 판단하기는 어렵다. 그러나 민감도 실험에서(Table 4) 모델 업그레이드와 격자 및 수심자료의 공간 해상도 향상만으로도 모델의 성능 개선이 있었고, 이와 더불어 의 최적화로 추가적인 모델 성능 개선이 이루어진 것으로 분석된다. 지역 및 국지연안 모델에 대한 민감도 실험에서도, 그 평가가 2020년 8월 한반도에 영향을 준 태풍 시기에 대해서만 수행되었기 때문에 바람 입력장의 계절별 특성을 반영하고 값을 최적화하기 위해서는 보다 장기간의 민감도 실험이 필요하다. UWW3의 48시간 예측 성능 또한 1년 이상의 장기간 예측을 통해 계절별 예측특성 파악이 요구된다.
UWW3는 전지구/지역/국지연안 모델간 경계자료를 공유하는 방법에 있어서 양방향 시스템(two-way)으로 구축되었다. 서론에서 언급하였듯이 양방향 시스템은 여러 멀티격자 도메인에 대해 동시 수행이 가능하고 쌍방향으로 도메인간 경계자료를 공유할 수 있다는 장점을 가지고 있다. 그러나 WW3의 병렬처리 시스템은 일반적으로 사용하는 격자 배열을 분리하여 계산하는 방법이 아닌 파랑 스펙트럼의 배열을 분리하여 계산하기 때문에 멀티격자 쌍방향 시스템으로 모델을 구성할 경우 격자 수가 늘어나 수행시간이 오래 걸리는 단점이 있다. 반면, 경계자료를 저해상도 도메인에서 고해상도 도메인으로 제공하는 단방향 시스템(one-way)은 전지구, 지역, 국지연안 모델순으로 순차적으로 모델이 수행되기 때문에 각 모델의 격자수가 커지지 않아 계산 속도가 빠른 장점이 있다. 따라서 향후 현업 운영에서는 모델의 성능뿐 아니라 계산시간까지도 고려하여 최적의 운영시스템을 선택해야 할 것으로 판단된다.













