1. 서 론
2. 연구 방법
자연수 중 희토류 원소(REE) 정량 분석법
표준화된 희토류원소의 분포(Shale-normalized REEs) 및 Gd anomaly
Tetrad effect로 인한 자연발생적 Gd anomaly
3. 대도시 주변 하천에서 Gd 유입 연구 과거 연구 사례
4. 해양에서의 Gd anomaly 연구 사례
5. 대한민국에서의 Gd anomaly 연구 사례
6. 요약 및 앞으로의 연구
희토류 원소(REE) 자원 이용에 따른 오염물질 유출 지속 대비 장기 모니터링
해저를 통한 해양으로 Gd 오염수 유입 연구
오염물질 추적자로서 Gd 및 REE 활용 연구
인위적 Gd의 인체 유입 및 생체 위해성 평가
Gd 외에 인간활동 기원 REE의 유입 및 물질순환 연구
1. 서 론
희토류 원소(Rare Earth Element, REE)는 주기율표 란탄족(Lanthanides, 원자번호 57-71)에 속한 15개의 원소이다(La, Ce, Pr, Nd, Pm, Sm, Eu, Gd, Tb, Dy, Ho, Er, Ym, Yb, and Lu). REE는 공통적으로 4f 오비탈(orbital) 원자 구조를 가지고 있어, 다중 산화 상태(multiple oxidation state)를 가지는 Ce (Ce3+와 Ce4+)과 Eu (Eu2+와 Eu3+)을 제외한 대부분의 REE가 해수 중에서 3가 양이온 형태로 존재하는 등(예외, Ce4+과Eu2+), 지구 환경에서 유사(Coherent)한 지화학적 특성을 가지는 것으로 알려져 있다(Henderson 2013). 그러나, 원자번호가 증가할수록(무거워질수록) 4f 궤도에 채워지는 전자 수가 증가하게 되며, 핵-전자간 인력 증가로 인해 무거운 원소(Heavy REE, HREE)로 갈수록 가벼운 원소(Light REE, LREE)에 비해 원자 크기가 감소하게 된다. 또한, HREE로 갈수록 해수 중에서 더 강한 탄산염(CO32-) 결합(REE(CO3)+complex)을 형성하여 더 안정적인 성질을 가진다(Goldberg et al. 1963; Elderfield and Greaves 1982). 이러한 각 원소 간의 미세한 지화학적 성질 차이는 그 기원에 따라 원자 간의 분별 작용(Fractionation)을 일으키게 되며, 따라서 REE는 해수의 순환이나 수괴의 기원, 입자상 물질의 거동 등 다양한 해양 및 지구 현상을 해석하는 추적자로 사용되어왔다(Alibo and Nozaki 1999, 2000, 2004; Osborne et al. 2015).
또한 REE는 광물에서 매우 희소하게 분포함(1–10 ppm)에도 불구하고, 현대의 각종 산업 분야에 중요한 자원 물질로 이용되고 있다. 대표적으로 i)유리 가공의 연마제, ii)모니터및 TV 제품의 형광체, iii)자기 냉동 장치, iv)자동차 배터리, v)광섬유, vi)중성자 영상기술(이미징), vii)가스연료 합성 공정시 촉매, viii)화학야금(Metallurgy), ix)원자력 발전시 원자로 제어봉 등, 다양한 첨단 산업에 REE가 원료 자원으로 사용되고 있으며(Kanazawa and Kamitani 2006; Zhanheng 2011; Massari and Ruberti 2013), 그 자원학적 가치의 증가는 때때로 국가간 외교 갈등의 원인이 되기도 한다.
그 중에서 특히, REE 원소 중 하나인 가돌리늄(gadolninium, Gd) (원자번호 64)은 매우 강한 상자성(paramagnetic property)에 의해 의료 진단용 자기공명영상(Magnetic Resonance Imaging, MRI) 촬영 시 피검사자에게 주입하는 조영제(contrast agent)의 재료 원료로 널리 쓰이는 것으로 알려져 있다(Carr et al. 1984). 1980년대 중반, 처음 gadolinium-diethylenetriamine pentaacetic acid (가도펜테틱산, Gd-DTPA) 조영제가 처음 사용된 이래 현재까지 다양한 Gd 유기화합물 조영제(organic Gd-complex agent, 여기서부터 Gd-CA라 명명함) 들이 개발되어 뇌혈관 조영검사와 혈액-뇌장벽 분해에 따른 뇌종양 검출 등에 사용되고 있다(Stack et al. 1988). 전 세계적으로 널리 상용되는 Gd-CA 조영제들의 종류와 물리화학적 특성, 전 세계적 이용 추세 등을 Table 1에 나타내었다. 이러한 Gd-DPTA를 비롯한 다양한 Gd-CA (Gd-DOTA, Gd-DTPA-DMA, Gd-BOPTA, and etc.)들은 지화학적 안정성이 매우 높아서(Kd > ~1016) (Table 1), 주변 (수)환경으로 유입시, 분해 또는 화학적 변형이 이루어지지 않고 매우 장시간 수환경에 잔류하여 축적된다(Kulaksız and Bau 2007; 2011a). 그 밖에도 Gd (또는 Gd-CA)는 X-선을 사용한 검사(예, 종양 검출) 시 혈관 주사제, 양전자단층촬영 장비(positron emission tomography, PET), 중성자 검출 장비, 골밀도 측정기 등 다양한 의료 목적 활동에 사용된다(Caravan 2006; Ebrahimi and Barbieri 2019).
Table 1.
List of FDA-approved major Gd-CA (Gd chelating agent) mainly used in worldwide MRI tests and known stability constants (K) in natural water
Referred from research by Uggeri et al. (1995), Caravan et al. (1999), Caravan et al. (2001), Bellin et al. (2003), Brücher et al. (2013) and Ebrahimi and Barbieri (2019)
의료용 영상 촬영 장비의 상용-보급화와 의료기술의 발전으로 인해 전세계적으로 MRI 촬영 검사 수는 지난 20여년간 해마다 증가하는 추세를 보인다(Fig. 1). 특히, 한국은 백만 인구당 MRI 검사 시설이 26.3개로 OECD (Organization for Economic Co-operation and Development) 회원국 중 5번째로 많은 검사장비를 보유하고 있으며(OECD 2021), 전체 인구의 절반 가까이 밀집하여 있는 수도권 지역에서 집중되어 있다. 국내에서만 지난 10여년간 해마다 약 60만–80만 건 이상의 검사가 이루어지고 있으며, 이는 총 연간 3천억원 이상의 의료비 규모에 해당한다(KHIDI 2018).

Fig. 1.
The total number of yearly MRI tests in Korea (left) and major countries around the world (right). Data from OECD iLibrary (OECD 2021) (https://www.oecd-ilibrary.org/social-issues-migration-health/magnetic-resonance- imaging-mri-exams/indicator/english_1d89353f-en), (accessed on 30 March 2021)
1980년대부터 Gd-CA가 전세계적인 의료 활동에 이용된 이래, 1990년대 중반 독일 에서 대도시 주변 수환경(하천 등)과 상수 시설, 하수처리 시설에서 자연배경농도의 수십 배에서 많게는 수백 배 이상 높은 Gd 농도가 처음 보고되었다(Bau and Dulski 1996). 이후 현재까지 미국, 유럽, 일본, 한국 등 각 주요 하천에서 이러한 높은 Gd 오염 현황들이 보고되는 등(Nozaki et al. 2000; Kulaksız and Bau 2007, 2011a; Kim et al. 2020a, 2020b), 최근 국제적으로 Gd이 신규오염물질(New emerging contaminant)로 인식되고 있다(Rogowska et al. 2018; Ebrahimi and Barbieri 2019). 도심 주변 하천 및 하수로 유입되는 Gd-CA들은 매우 안정적인 성질때문에 현존하는 하수정화처리 과정에서 분해되지 않고 그대로 다시 해양으로 유입되게 되는 것으로 알려져 있으나, 이러한 인위적 기원 Gd에 대해서 해양으로의 분포, 유입 및 거동에 관련된 연구는 현재까지도 거의 이루어지지 않고 다. 따라서, 본 논문에서는 인위적 기원 Gd의 해양으로의 유입과 관련된 i) 연구 방법과 국내외의 주요 연구 사례들을 소개하고, ii) 그 연구 결과가 해양에 미치는 의미를 검토하여 논의하고, iii) 이러한 연구들을 토대로 해양에서 오염 Gd 및 REE유입과 관련하여 향후 어떤 연구가 수행되어야 할 지에 대해 제안하고자 한다.
2. 연구 방법
자연수 중 희토류 원소(REE) 정량 분석법
자연수 중 REE 역시 극미량(0.01 to 10 pmol kg-1)으로 존재하며 시료 채취 및 분석 과정에서 오염에 취약하므로, 미량 중금속의 분석법과 같은 청정 시료채취와 오염에 유의한 분석법이 요구된다. 용존 희토류 원소의 분석을 위해 채취한 자연수 시료를 먼저 여과(0.2 to 0.45 μm)한 뒤 미리 산(acid)으로 세척한 플라스틱(PE재질)의 용기에 pH 1.5 to 2.0로 산처리(acidification)하여 보존한다. 물 시료 중의 염(Salt)등의 방해물질을 제거 및 희토류원소만을 추출하기 위한 전처리 법으로 Chelex 100 (Sigma-Aldrich, US), Toyopearl (Tosoh bioscience, Japan), NOBIAS (Hitachi, Japan) 등의 레진(resin)을 충진한 컬럼에 시료를 통과시키는 고체상 컬럼추출(Solid-phase extraction, SPE) 법이 많이 적용되고 있다(Sawatari et al. 1995; Kim et al. 2010; Raju et al. 2010; Hatje et al. 2014). 산처리된 해수 등의 물 시료에 희석된 암모늄아세테이트(CH3COONH4) 완충용액과 암모니아수(NH4OH)를 가해 시료의 pH를 각 resin의 흡착 효율이 최적화가 되는 pH (예, Chelex-100과 NOBIAS는 pH~6)로 맞춘 후, 시료를 통과시켜 resin에 농축 시킨다. 그리고 희석한 완충용액을 통과시켜 잔류 염을 제거하고 정제한 초순도 산을 가하여 컬럼에 농축된 희토류원소를 용출하여 추출한다. 앞선 연구를 통해, 희토류원소의 하나인(15개 원소 중에 자연상의 가장 농도가 낮은) Tm을 시료에 spiking하여, 이러한 컬럼 추출 방법을 통한REE의 회수율(recovery efficiency)을 직접 측정하고 보정한 연구가 소개되었다(Kim et al. 2010). 그러나 최근 연구에 의하면 Gd-DPTA의 경우, 이 resin들의 적용 pH (pH 5.5 to 6.0)에서 컬럼에 효율적으로 흡착시키지 못한다는(retention) 연구결과가 있었으며, 대신하여 C-18 cartridge (at pH~3)에서 70% 이상의 Gd과 Gd-DTPA를 함께 추출할 수 있는 방법이 소개되기도 하였다(Shabani et al. 1992). 따라서, 상용되는 기존의 킬레이트(Chelate)를 이용한 SPE컬럼을 적용하기 위해서는 Dd-DTPA등의 organic Gd-CA를 사전에 극초단파(microwave)를 이용하여 분해(digestion)하는 것이 요구된다(Hennebrüder et al. 2004).
이렇게 전처리 및 농축된 물 시료 중 Gd을 포함한 REE의 농도는 유도결합 플라즈마 질량분석기(Inductively coupled plasma mass spectrometry, ICP-MS)로 측정 한다(Lawrence and Kamber 2007). 농도를 알고 있는 REE 표준용액(Standard solution)으로 예상되는 농도 범위의 검정곡선(Calibration curve)를 그려 질량분석기의 계측값(예, count per second, cps)을 농도로 계산한다. 농도를 알고 있는 103Rh, 115In, 238U 등을 내부표준물질로(Internal Standard) 시료에 가하여 ICP-MS의 배경매질(matrix) 및 시간에 따른 감도(sensitivity) 변화를 보정한다. 특히, REE의 ICP-MS측정시에는 Ba 산화물(예, Barium Oxide, BaO)가 Eu (151Eu, 153Eu)의 분석값에 간섭(Interference)을 일으킬 수 있다(예, 135Ba16O, 137Ba16O and etc). 일반적으로 ICP-MS의 분석 전 최적화(Tuning) 과정에서 BaO/Eu 비 값을 모니터하여 0.3% 이하가 되면 거의 무시할만한 영향으로 알려져 있다. 그러나 간섭 원소의 함량이 너무 높아 이 효과가 매우 커지는 경우, 원소의 산화물(Oxide) 및 수산화물(Hydroxide)의 생성율을 측정하여 수학적으로 보정할 수도 있다(Raut et al. 2005). 전처리 과정과 시료 측정 등 분석법의 신뢰도 확립을 위하여 인증표준물질(Certified Reference Material, CRM)을 함께 분석하며, 측정 시료의 종류에 따라 캐나다 국립연구위원회(National Research Council of Canada)의 외양수(NASS), 연안수(CASS), 하천수(SLRS), 하구역의 혼합수(Estuarine water) (SLEW)등이 CRM으로 널리 이용된다.
표준화된 희토류원소의 분포(Shale-normalized REEs) 및 Gd anomaly
자연 상에 분포하는REE의 농도 분포는 무거운 원소일수록(HREE가 LREE보다) 감소하는 경향이 있다. 이와는 별개로 Oddo-Harkins rule에 의해 짝수 번호 원소들이 홀수 원자번호의 원소들보다 자연적으로 더 많이 분포하고 있어, 자연적인 농도 분포를 REE의 원자번호 순으로 나열하여 시각화 하면 REE간에 최대 100배의 농도 차이를 보이며 원자번호 순으로 지그재그(Zig-zag)형의 분포를 보이게 된다(Henderson 2013). 따라서, Oddo-Harkins rule에 의한 효과를 제거하고, 비슷한 농도 범위에서 각 REE들의 환경시료 내의 기원 및 지화학적 분별 작용을 더 잘 이해하기 위하여, 측정된 시료 중 REE의 농도를 지구화학적 참조 물질(Reference material)인 대륙 지각(Continental crust) 혹은 셰일(Shale)에서의 각 원소의 농도(e.g., average shale)로 나누어 표준화(normalization)한 분포로 표시하는 방법을 적용하게 된다(McLennan 1989; Henderson 2013). 대표적인 지질학적 참조 물질로는 Post-Archean Australian Shale (PAAS)이 널리 사용되며(Taylor and McLennan 1985), North American Shale Composite (NASC) (Rudnick and Gao 2003)과 upper continental crust (UCC) (Sholkovitz 1988) 등이 물 시료 내 희토류 원소의 표준화를 위한 지질학적 참조 물질로 널리 사용된다.
이렇게 측정된 시료의 REE 각 농도를 참조물질로의 표준화 방법을 이용하여, 시료 중 측정된 Gd의 농도 중 자연배경농도(natural background)를 추정할 수 있다. 또한, 자연배경농도 대비 Gd의 상대적인 이상(Gd anomaly)를 계산하여 과잉의(i.e., 인위적 기원) Gd의 유입에 이한 시료 농도의 상대적인 기여도를 평가할 수 있다(Fig. 2). Gd anomaly를 산정하는 데에는 대표적으로 선형 보간법(linear interpolation)이 많이 쓰이고 있다(Bau et al. 2006). 예를 들면, 선형 외삽법은 Gd의 이웃 원소들인 Eu과 Tb의 셰일-표준화(Shale-normalized, SN)된 농도(EuSN과 TbSN, unitless)를 기반으로 시료 내 배경 농도(Gd*라 함)를 외삽하여 추정하는 방법으로 계산하며, 배경농도 대비 상대적인 실제 Gd의 비 값인 Gd anomaly (Gd/Gd*)를 산정하는 계산식(equation) 1은 아래와 같다.

Fig. 2.
Simple examples of anthropogenic Gd anomaly relative to calculated background (uncontaminated) natural Gd level in PAAS-normalized REE patterns. Modified from Lawrence et al. (2009)
이러한 방법은 연구 지역의 해양 환경에 따라, Ce (해양 입자 침강의 추적자)이나 Eu (Redox sensitive하여 산화-환원 환경의 추적자)의 특정 REE 원소의 anomaly를 규명하는 연구에도 마찬가지로 적용된다. 그러나 물 시료 내에서 가벼운 희토류 원소인 Eu은 산화-환원 환경에 영향 받는 예외적인 Redox sensitive한 지화학적 성질(Eu2+/Eu3+)을 가진 원소이므로 잘 사용되지 않으며(Elderfield and Greaves 1982), 대신 한단계 더 옆 번호에 속한 가벼운 희토류 원소인 Sm을 사용한 아래와 같은 equation 2가 더 널리 사용된다; Gd과 Tb은 원자번호 1개의 차이가 나지만 Gd과 Sm은 2개의 차이가 나므로 TbSN과 SmSN 사이에서의 선형 보간법을 이용해 수학적으로(Mathematically estimated) 평균을 낸 Gd*을 추정하기 위해서는 아래 equation 2와 같이, TbSN에 2를 곱하여 두 배의 가중치를 줘야함을 유의하여야 한다.
이를 바탕으로 자연배경농도 대비 물 시료 중 Gd 농도의 지질학적 표준 물질 대비 상대적인 과잉(Gd/Gd* > 1) 혹은 결핍(Gd/Gd* < 1)의 정도를 평가할 수 있으며, 실제 관측값을 통해 계산된 양(Positive)의 Gd anomaly의 예를 Fig. 2에 나타내었다. 여기에서는 가장 널리 쓰이는 선형 보간법에 대해 소개하였지만, 연구자에 따라 REE 간의 SN pattern을 직선이 아닌 곡선으로 간주하여 시료 고유의 SN pattern과 가장 유사한 형태의 logarithm (or exponential-) fitting curve를 수식으로 나타내어 Gd*을 추정하는 polynomial fit 방법도 종종 함께 쓰이고 있다(Kulaksız and Bau 2007; Lawrence et al. 2009; Merschel et al. 2015; Hatje et al. 2016).
또한 실제 측정된 Gd 농도(Gdmeasured)와 (2)를 통해 계산된 이론상 자연수 중 Gd의 배경농도(Gd*)를 차이를 계산함으로써(아래 equation 3), 인위적으로 기원한 과잉(excess)의 Gd (Gdanth)의 농도를 추정 할 수 있다(Hatje et al. 2016; Kim et al. 2020a):
Tetrad effect로 인한 자연발생적 Gd anomaly
앞선 연구를 통해, 일부 지질학적(Geological) 시료에서 표준화된(SN) REE 패턴이 4개의 그룹으로 나뉘어 나타남(예, M- 혹은 W-shape)이 발견되었다. 이는 REE의 16개 원소들이 전자가 4f 전자 껍질을 (i) 1/4 (La-Ce-Pr-Nd), (ii) 2/4 (Pm-Sm-Eu-Gd), (iii) 3/4 (Gd-Tb-Dy-Ho), 그리고 (iv) 4/4 (완전히) (Er-Tm-Yb-Lu)로 채워감에 따라 REE가 총 4개의 그룹으로 나눠지기 때문으로 알려져 있으며, 이러한 REE 고유의 물리화학적 특성(Physicochemical property)을 Tetrad effect (McLennan 1994)라 한다. 특히, Gd은 4f 오비탈의 전자껍질에서 정확히 절반(2/4)의 전자가 채워져 (ii)와 (iii) 그룹에 동시에 속하는 원소로서 REE 중에서 물리화학적으로 가장 안정하기 때문에 다른 원소에 비해 자연 상에 더 풍부하게 (abundant) 분포하고 있다고 알려져 있다(Masuda and Ikeuchi 1979). Tetrad Effect에 의해 자연수 중에서도 다소 높은 Gd anomaly가 나타날 수 있으며 측정된 결과의 해석에 이를 고려해야 한다.
3. 대도시 주변 하천에서 Gd 유입 연구 과거 연구 사례
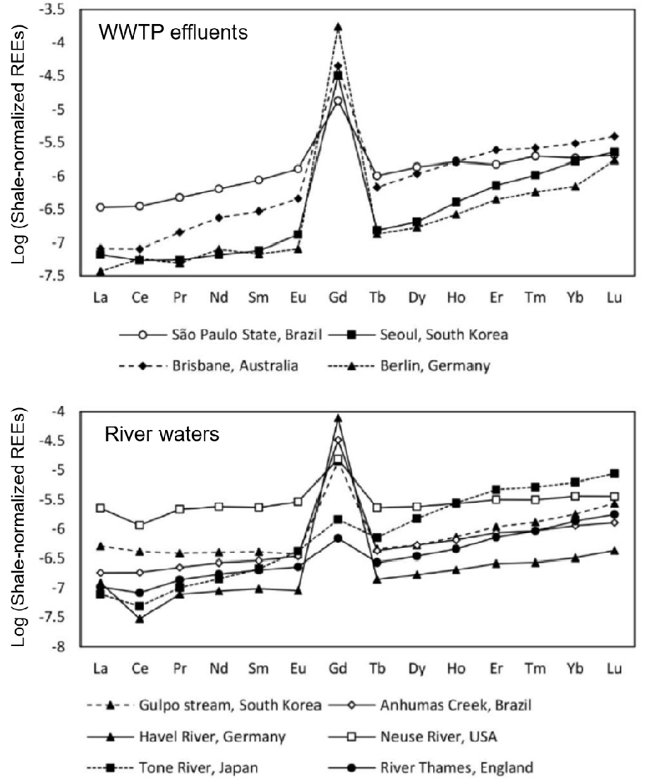
1980년대 중반, Gd-DTPA (gadolinium-diethylenetriamine pentaacetic acid)의 MRI 검사 시 조영제로서의 사용 방법이 처음 소개된 이후(Carr et al. 1984), 1990년대 자연 환경에서 물 시료 내에 양의(positive) Gd anomaly가 관측되기 시작하였다. Bau and Dulski (1996)는 독일(Berlin- Potsdam area, eastern Germany) Berlin의 강물에서 자연수 농도 대비 12배에서 126배까지 높은 Gd anomaly (12.4–126)가 나타남을 처음 밝혀냈고, 반면에 스웨덴과 일본의 비산업지역에 위치한 하천에서는 뚜렷한 양의 Gd anomaly가 나타나지 않았다. 이 지역의 하천수의 유입원을 역추적해 해 본 결과, 이러한 Gd anomaly는 하수처리장의 처리수에서부터 기인하였으며, 따라서 MRI 검사 등 의학적 사용에 의한 유입에 기인 하였음을 처음 발표하였다. 이후 2000년대에 이르러 전세계적으로 대도시 인근의 강, 호수 등 다양한 자연수 중에서 높은 Gd anomaly (Gd/Gd*)가 종종 보고되었다. 예를 들어, (비록 시료 여과 단계의 용존/입자상 여과지 공극 크기(0.04 to 0.45 μm) 및 시료 분석 과정이 각 연구자와 연구 지역에 따라 동등한 비교는 어렵지만) 실제 측정된 강물 중 Gd의 농도는 자연배경농도에 비해 미국의 Neuse 강에서 최대 4배(Gd/Gd* ~1.1–4.0), 브라질 Anhumas Creek에서 평균 5.5배(Gd/Gd* ~1.5–9.5), 일본 Tone, Tama, Ara 강에서 최대 6배(Gd/Gd* ~1.6–6.2), 그리고 서울 및 경기도의 한강 여러 지류에서 최대 35배(Gd/Gd* ~1.6–34.8) 가까이 높은 것으로 나타났다(Fig. 3) (Nozaki et al. 2000; Zhu et al. 2004; Bau et al. 2006; Kulaksız and Bau 2011b; Song et al. 2017; Smith and Liu 2018).

Fig. 3.
Reported significantly high Gd anomaly in River water (upper column) and polluted water (e.g. water from waste water treatment plant (WWTP), lower column). Modified from Ebrahimi and Barbieri (2019)
육상의 오염수는 일반적으로 하수처리장(Waste Water Treatment Plant, WWTP)에서 1차/2차 하수 정화 처리를 통해 유출수(Sewage/WWTP effluent)의 형태로 다시 자연 환경으로 재배출된다. 앞선 연구들에 따르면, 브라질, 호주, 독일(Berlin), 대한민국(한강 유역)에서 하천 인근 WWTP의 유출수에서 Gd/Gd*가 각각 9.5, 9.0–99.0, 64–2014, 56.7–271로 나타났으며, 이는 인근 하천에서의 Gd/ Gd*보다 10–100배 가까이 높은 수치였다. 이는 하수처리시설을 통해 Gd이 제거되지않고 오히려 더 농축되어 재배출되고 있음이 보고되었다(Fig. 3) (Knappe et al. 2005; Lawrence et al. 2009; Kulaksız and Bau 2011b; de Campos and Enzweiler 2016; Song et al. 2017).
그 외에 현재까지 도심 주변의 하천(강 물), 호수, 지하수 뿐만 아니라 연안 해수, 하수 처리, 그리고 수돗물 등 인간생활 주변의 수환경에서 연구되어 보고된 Gd의 농도와 Gd anomaly를 함께 Table 2에 제시하였다. 비록 연구자의 연구 방법 및 지역전 편차에 따라 Gd의 농도는 최대 1000배 가량 큰 차이를 보이고 있지만, Gd/Gd*가 강, 호수, 지하수에서 각각 1.1–644, 1.1–41, 3.6–53으로 매우 높게 나타났으며, WWTP의 유출수에서 역시 일관적으로 인근의 유입 기원보다 몇 배 이상 높은 Gd/Gd*가 보고되었다(Table 2). 또한 이러한 Gd/Gd* 오염은 하천수와 지하수사이의 작용 및 혼합을 거쳐 인근 도시의 상수도 수돗물에까지 영향을 미치는 것으로 보고되었다(Table 2) (Gd/Gd*, 1.4–33.7, 독일 Berlin). Kulaksız and Bau (2011b)는 하수처리장에서의 처리 및 재배출과는 독립적으로, Gd/Gd*가 인근 지표수 자원의 형태로 배출되어 지하수 등으로 운반 될 수도 있으며, 이후 주거지역에서의 상수자원으로 곧바로 공급되어 쓰일 수 있다고 보고하였다.
Table 2.
Reported dissolved Gd concentration and Gd anomaly in various natural water in worldwide
| Type of water sample | Study region | Filtration size (μm) | Gd concentration (pmol kg-1 or pmol L-1) | Gd anomaly (GdSN/Gd*SN) | Reference |
| River water | Han River and streams, Korea | 0.2 | 45.9–573 | 1.6– 34.81 | Song et al. 2017 |
| Han River (in Seoul), Korea | 0.45 | 39.9–233 | 1.0–12.51 | Kim et al. 2020a | |
|
Nakdong River estuary (in Busan) Korea | 0.45 | 21.2–1,660 | 1.3–2.35 | Kim et al. 2020b | |
| Shonai- Tenpaku, Japan | 0.45 | 56.6–89.0 | 2.1–9.41 | Zhu et al. 2004 | |
| Tone, Tama, and Ara, Japan | 0.04 | 10.3–155 | 1.6–6.21 | Nozaki et al. 2000 | |
| Rhine River, Germany | 0.2 | 75.0–1,200 | 4.4–1102 | Kulaksız and Bau 2011a | |
| Havel River, Germany | 0.2 | 3,140 | 6442 | Kulaksız and Bau 2011b | |
|
Elber-, Ems-, and Weser River, Germany | 0.45 | 94.8–116 | 3.6–5.53 | Kulaksız and Bau 2007 | |
|
Wupper-, Spree-, Havel River, Germany | 0.2 | 43.1–675 | 12.4–1261 | Bau and Dulski 1996 | |
| Anhumas Creek, Brazil | 0.22 | 82.7–1,320 | 1.1–86.72 | de Campos and Enzweiler 2016 | |
| Danube River, Austria | 0.2 | 48.6 | 2.32 | Kulaksız and Bau 2011b | |
| River Thames, Germany | 0.2 | 26 | 2.52 | Kulaksız and Bau 2011b | |
| Susquehanna River, USA | 0.2 | 62.6 | 2.21 | Bau et al. 2006 | |
| Neuse River, USA | 0.45 | 162–2,200 | 1.1–4.04 | Smith and Liu 2018 | |
| Lake/pond | Shihwa Lake, Korea | 0.45 | 8.4–61 | 1.3–1.71 | Kim et al. 2020a |
| Lake Paranoá, Brazil | 0.2 | 50.2–224 | 15.5–40.94 | Merschel et al. 2015 | |
| Kyjsky pond, Czech | 0.2 | 27.6 | 2.85 | Möller et al. 2003 | |
|
Ground- water | Honokohau Harbor well, Hawaii | 0.45 | 192 | 5.11 | Johannesson et al. 2017 |
| Berlin, Germany | 0.2 | 110–755 | 3.6–53.01 | Knappe et al. 2005 | |
| Seawater | Bahia Coast, NE Brazil | 0.2 | 4.5–12.0 | 1.0–3.42 | Pedreira et al. 2018 |
| Tokyo Bay, Japan | 0.04 | 8.4–15.4 | 1.5–2.11 | Nozaki et al. 2000 | |
| Weser Estuary, Germany | 0.45 | 45.1–150.6 | 3.8–7.43 | Kulaksız and Bau 2007 | |
| Jade Bay, North Sea | 0.45 | 11.2–17.9 | 1.6–2.13 | Kulaksız and Bau 2007 | |
| San Francisco Bay, USA | 0.45 | 14.1–171.4 | 1.6–3.95 | Hatje et al. 2016 | |
|
WWTP effluent | Han River, Korea | 0.2 | 272–1286 | 56.7–2711 | Song et al. 2017 |
| São Paul, Brazil | 0.22 | 547 | 1.5–9.52 | de Campos and Enzweiler 2016 | |
| Tallahassee, Denver, and Boulder, USA | 0.45 | 4320–7630 | 20.0–62.71 | Verplanck et al. 2005 | |
| Berlin, Germany | 0.2 | 201.0–7480 | 64–20141 | Knappe et al. 2005 | |
| Prague, Czech | 0.2 | 253.0–278.0 | 55.4–61.75 | Möller et al. 2003 | |
| Brisbane, Australia | 0.22 | 119.6–1795 | 9.0–99.05 | Lawrence et al. 2009 | |
| Tap water | Western Berlin, Germany | 0.2 | 3.5–115.0 | 1.4–33.72 | Kulaksız and Bau 2011b |
| Berlin-Steglitz, Germany | 0.2 | 39.8 | 12.01 | Bau and Dulski 1996 |
4. 해양에서의 Gd anomaly 연구 사례
Gdanth의 자연환경으로의 유입에서 눈여겨볼 점은, Gdanth (Gd/Gd* >> 1)가 강 하구로 수송되는 과정에서 Gd-CA의 지화학적 안정성에 의해 Gd을 비롯한 오염된 REE가 콜로이드상 유기물질이나 표층 부유물질과의 흡착, 그리고 하구역에서 해수와의 혼합 등의 작용에 의해 제거되지 않고, 연안 또는 해양으로 그대로 유입 될 수 있다는 점이다. 이는 강물 기원의 Gdanth를 비롯한 인위적 기원 REE가 연안 해양으로 여전히 매우 농축된 형태로 상당량 유입 될 수 있음을 시사한다.
현재까지 연안지역의 해수나 하구역의 혼합 염수 등의 많은 지역에서 Gdanth가 측정되어 보고되지는 않았으나 브라질(Atibaia River estuary), 일본(Tokyo Bay), 독일(North Sea estuary), 미국(San Francisco Bay)등에서 연안(해)수 중에서는 Gd/Gd* 가 1.05–7.4로 해수 중에서도 다소 높게 나타날 수 있음이 보고되었다(Nozaki et al. 2000; Hatje et al. 2016; Pedreira et al. 2018). Kulaksız and Bau (2007)는 North Sea로 흘러 들어가는 모든 강에서(Rhine-, Ems-, and Thames River) 높은 Gd anomaly가 관측되었으며(Gd/Gd* ~ 3.8–7.4), 인위적 기원 Gd은 자연적 REE와는 다르게 하구에서 담수와 해수와 혼합 과정 동안에 거의 제거되지 않고 그대로 North Sea의 표층수로 유입된다고 보고하였다. 이어 최근 Hatje et al. (2016)의 연구 결과에 따르면, 미국 샌프란시스코 만에서 약 100 km 거리가 넘는 만 전체(13개 정점)의 해수에서 Gd/Gd*가 약 1.6에서 3.9에 이르기까지 일관적으로 높게 나타났다. 또한 만 내 해수 중 전체 Gd 인벤토리 중에 60–80% 이상이 자연 기원이 아닌 Gdanth인 것을 밝혀내었다(Fig. 4). 더 나아가, MRI 조영제가 처음 도입된 1990년대 이후, 만내 해수 중에서 i) Gd의 농도, Gdanth의 농도, 또한 전체 농도 대비 인위적 기원 Gd의 비율 모두 꾸준히 축적되어 증가하고 있음을 보고하였다(Fig. 5).

Fig. 5.
Total dissolved Gd and Gdanth concentration (< 0.45 μm), and annual trend of proportion of Gdanth (%) at the Lower South Bay, San Francisco Bay for the period from 1993 to 2013. Data from Hatje et al. (2016)
하천수를 통한 강 하구역에서 연안 해양으로의 유입 외에도, 해저를 통한 희토류 원소의 유입 가능성도 있다. 전 세계적으로 많은 연안 대도시 지역에서는 하수처리가 되지 않거나 혹은 1차적 처리만 거친 폐수들이 해양 해저면을 통해 해양으로 유입된다고 알려져 있으나, 이와 관련하여서는 아직 연구가 이루어지 않고 있다. Pedreira et al. (2018)은 브라질 해저를 통한 하수 유출에서 높은 Gd/Gd* (1.0–3.4)를 가진 육상 기원 하수가 북동부 대서양 연안 해양으로 유입되고 있음을 밝혀내었다. 또한, 최근 지난 10여 년간의 최근 연구를 통해 해저 지하수 유출(Submarine Groundwater Discharge, SGD)을 통해 상당량의 희토류 원소가 해양으로 유입될 수 있음이 역시 보고되었다(Johannesson et al. 2011; Kim and Kim 2011, 2014; Chevis et al. 2015). 더불어 한반도에서도 연안을 따라 SGD의 유출량이 연안에서 주변 해역으로 유출되는 강물 등의 담수보다 비슷하거나 더 많을 수 있음이 알려졌다(Kim et al. 2003; Kim et al. 2008). 따라서 이와 관련하여 해저를 통한 인위적 기원의 오염 REE의 해양으로의 직접 유입에 관한 연구가 필요할 것으로 보인다.
5. 대한민국에서의 Gd anomaly 연구 사례
2010년대 후반부터, 우리나라에서도 대도시 주변 자연수에서 인위적 기원 Gd의 분포와 유입에 대한 연구 결과가 발표되기 시작하였다. Song et al. (2017)은 서울과 여러 한강 상류를 포함한 여러 지류에서 WWTP로부터 기인한 높은 Gd/Gd* (56.7–271)을 가진 유출수가 한강으로 유입되어 관측되고 있음을 처음 보고하였다(Fig. 3). 수원지인 팔당댐으로부터 거리가 멀어질수록 Gd을 포함한 인위적 기원 희토류 원소(가벼운 희토류 원소인 La과 Sm)의 anomaly가 증가하는 것을 관측하였으며(Gd/Gd* of 1.6–34.8), 이는 도심에 가까워질수록 의료시설과 인구수에 비례하는 것과 상관관계가 있음을 보고하였다. 또한 한강 유역으로 유입되는 WWTP 유출수로부터 황해로 연간 952±319 kg의 인위적 기원의 REE가 유입되고 있음을 밝혀내었다(Song et al. 2017).
최근 Kim et al. (2020a)은 산업화로 인한 오염지역으로 예상되는 시화호와 서울 도심을 관통하는 한강에서 Gdanth의 농도와 Gd anomaly (시화호와 한강에서 각각 1.2–2.3(n = 16) 과 1.3–1.7(n = 26))를 보고하였다(Fig. 6). 시화호와 한강 물 중에서 Gd/Gd*는 외국의 Lake Erie (Gd/Gd* of 1.58) 및 Niagara River (Gd/Gd* of 1.63)와 비슷한 수치로 나타났으며, 비오염지역으로 판단되는 연안 해수 및 동해, 하천수 (약 Gd/Gd*~1.2)보다 높게 나타났다(Table 3). 특히 방조제 축조 이후 폐쇄된 환경인 시화호에서 수심이 깊어짐에 따라 Gd/Gd*이 증가하며, 이는 해저면을 통해 Gdanth가 수층으로 유입되고 있음을 시사한다.

Fig. 6.
Significant high Gd anomaly reported from Shihwa Lake and Han River water surrounded by polluted area and metropolitan cities Modified from (Kim et al. 2020a)
Table 3.
The reported Gd anomalies reported Gd anomalies (Gd/Gd*) in natural waters in the coastal region around Korean Peninsula
| Shihwa Lake1 | Han River1 | Nakdong River Estuary2 | Coastal groundwater3 | Coastal seawater3 | East Sea3 | Stream3 | |
|
Gd anomaly (Gd/Gd*) | 1.48±0.14 | 1.63±0.31 | 1.56±0.310 | 1.27±0.18 | 1.23±0.15 | 1.21±0.08 | 1.20±0.20 |
|
Sample types |
Brackish lake water (N = 15) |
River water (N = 20) |
Estuarine- saline water (N = 18) |
Brackish or fresh- groundwater (N = 69*) |
South Sea coastal water (N = 121*) |
Offshore seawater (N = 96*) |
Stream/river (N = 22*) |
Kim et al. (2020a)은 또한 서울 도심의 한강수 중 Gd뿐만 아니라 La, Pr 등과 같은 가벼운 희토류 원소들의 anomaly도 관측되는 것을 밝혀내었다(Fig. 6). 여름철(장마철) 서울 도심 유역(watershed)에서의 전체 인위적 기원 REE의 총 양(inventory)은 약 680±360 kg이었으며, 이 기간 한강을 통해 황해로 유입되는 인위적기원 Gd의 유출량(flux)는 530±330 g Gdanth day-1로, 이는 미국의 Allegheny- (83 g Gdanth day-1), Monongahela- (33 g Gdanth day-1) 강들보다 10배 가까이 높으며, 역시 미국의 Ohio River (330 g Gdanth day-1)와 유사한 수치인 것으로 나타났다(Bau et al. 2006).
이 연구에서 의료활동 등, 인간활동 오염에 영향 받지 않았을 것이라고 예상되는 비도심(농촌 등) 지역의 연안 해수(n = 121) 및 하천수(n = 22), 동해 울릉분지의 해수(n = 96) 등에서 Gd/Gd* 역시 1.2로, 다소 높은 양의 Gd anomaly가 나타났다(Table 3). 비오염지역에서의 이렇게 일관적으로 나타나는 양의 Gd anomaly는 앞서 연구방법 2.3절에서 소개한 REE 고유의 물리적 특성으로 알려진 Tetrad effect에 의한 것으로 생각된다. 따라서 실제 측정된 시료의 Gd 농도 중에서 Gdanth를 추정함에 있어 값에서 이를 함께 고려해야하며, 또한 기존의 Gd anomaly를 산정하는 수학적 방법들을 개선하여 순(net) 인위적 Gd/Gd* 을 산정하는 방법 개발에 관련한 연구가 필요할 것으로 생각된다.
최근 Kim et al. (2020b)은 낙동강 하구의 WWTP와 강물에서 높은 Gd anomaly를 관측하여 보고하였다(Fig. 7). WWTP 인근에서 채취한 시료에서 강물-해수의 염분 구배에 따른 보존적 혼합에 비해 높은 과잉의 REE (Nd, Gd, Lu)가 유입됨을 발견하였으며(LREE는 2–30배, HREE는 1–15배), 이 정점들 내 REE의 농도 역시 비오염지역에 비해 전반적으로 10–100배 가까이 매우 높게 나타나는 것으로 나타났다(Fig. 7). Kim et al. (2020b)은 또한 이 연구에서 이러한 WWTP 기원 및 인위적 기원 REE의 농도를 기반으로 낙동강 하구에서의 용존 미량 중금속(Al, Mn, Fe, Co, Zn, Pb, V, and Mo)들의 기원을 추적하는 시도를 하였다. 연구 결과, 낙동강 하구에서 미량 중금속은 i) 해수 기인(Mo and Cd), ii) 해수와 WWTP 기인(V), iii) 낙동강과 WWTP 기인(Ni and Cu), ⅳ) WWTP 기인(Al, Mn, Fe, Co, Zn, and Pb)으로 나뉘었으며, 이 연구결과는 인위적 기원 REE가 특히 연안수 중(WWTP 기원) 중금속 오염 해역에서 오염물의 기원을 추적하는 유용한 추적자로 쓰일 수 있음을 제안하였다.

Fig. 7.
Study area (a), Shale-normalized REE patterns (b), and (c) Gd concentration from each water source (River or WWTP) in Nakdong River estuary. Modified from (Kim et al. 2020b)
6. 요약 및 앞으로의 연구
앞서 검토한 바와 같이, 1990년대 이후 전세계적으로 인간활동에 기인한 Gd이 하천수와 하수처리장의 유출수, 또한 해저 등을 통해서 해양으로 유입되며 해양 환경에 영향을 미칠 수 있다는 연구 결과가 꾸준히 보고 되었다. 최근, 한국에서도 도심과 오염 지역의 강 하구 등에서 높은 Gd anomaly이 검출된다는 연구 결과가 보고되기 시작하였다. 이렇게 오늘날 Gd은 국제적으로 신규 오염물질(emerging contaminant)로 인식되고 있으며 다양한 연구의 필요성이 대두되고 있다. Gd 뿐만 아니라 첨단산업의 자원 물질로 사용되는 REE의 국제적인 생산과 소비는 지난 60여 년간 꾸준히 증가해오고 있으며, 국가 간 무역 관계로 인한 외교 갈등으로 그 소비량이 다소 주춤한 최근에도 그 생산량은 여전히 꾸준히 증가하고 있는 추세이다(Fig. 8) (USGS 2014). 인위적 REE는 자원물질로서 이용되는 분야에 따라 다양한 화학적 형태를 지닐 수 있으며, Gdanth (예, Gd-CA)등과 같이 매우 안정한 화학적 특성을 지닌 REE가 해양으로 유입될 경우 매우 오랜 시간 해양 환경에 머무르며 영향을 끼칠 수도 있을 것이다. 따라서, 마지막으로 이러한 인위적 기원 신규오염물질로서의 REE의 해양 영향을 이해하기 위해서는 앞으로 다음과 같은 연구들이 이루어져야 함을 제안하고자 한다.
희토류 원소(REE) 자원 이용에 따른 오염물질 유출 지속 대비 장기 모니터링
앞서 검토한 바와 같이 Hatje et al. (2016)은 San Francisco 연안에서 Gdanth의 농도 및 전체 농도 대비 비율이 지난 90년대부터 20년 이상 꾸준히 증가함을 보고하였으며, 독일 Berlin에서는 지난 10년간 강물 내 Gd의 농도가 4배가량 높아진 것으로 보고되었다(Kulaksız and Bau 2011b). 한국에서도 역시, 오염 해역이지만 이미 폐쇄된 시화호에서도 꾸준히 해저를 통한 Gd이 연안수로 유입되고 있음이 보고되었다(Kim et al. 2020a). 희토류 자원의 산업 이용이 먼 미래에까지 꾸준히 증가될 것으로 예상됨에 따라 자연상 배경농도 자료의 축적 및 REE 자원 이용량 대비 anomaly에 대한 자연수 중 꾸준한 중장기 관측이 요구된다. 물 시료 뿐만 아니라 과거부터 축적된 퇴적물, 토양 등 퇴적환경에서의 Gdanth 및 REEanth의 연구가 필요하다. 특히 이 과정에서, 앞서 한반도 주변 자연수 중에서 Tetrad effect에 의한 자연적인 Gd anomaly (Gd/Gd* ~1.2)의 효과를 제외한 Gdanth 산정법 개선에 대한 연구 역시 필요하다.
해저를 통한 해양으로 Gd 오염수 유입 연구
90년대부터 지난 Gdanth의 해양 유입 연구는 강, 하천수 등 육상 표면수(surface water) 연구에 주로 집중되어왔다. 해저를 통한 해양 유입수(지하수 등)는 지표면을 통하지 않아 시료채취 및 그 유출량 연구가 상대적으로 어렵기 때문에 과거에 많은 연구가 이루어지지 못했다. 그러나 최근 연구에 따르면, 하와이에서는 해저지하수 유출(SGD)을 통해 해저면으로부터 유입된 REE 중에도 역시 높은 양의 Gd/Gd*가 검출되었음이 보고되었다(Johannesson et al. 2017). 또한, 대서양 연안에서 해저를 통한(하수처리되지 않거나 혹은 1차처리에 국한된) 하수 유출로 인한 Gd 오염수가 대서양 연안으로 직접 유입되는 것으로 보고되었다(Pedreira et al. 2018). 따라서 지표수나 표면수 뿐만 아니라 해저를 통한 담수 및 하수 유입에 의한 해양 오염수 연구가 향후 필요하다.
오염물질 추적자로서 Gd 및 REE 활용 연구
Gdanth를 비롯한 REE는 비록 인위적으로 기인한 오염물질로 생각되나 Gd-DTPA등, 특히 Gd-CA물들은 매우 보존적 성질을 지닌 refractory component이기에 이를 지화학적으로 이용하여 WWTP 기인오염물의 지시자/추적자로의 활용 가능성이 있다. 육상에서는 안정 산소 동위원소 (18O) 와 결합하여, 수 일–수 달에 이르는 시간 규모에서 수리지질학적 유동 및 혼합에 관련한 연구가 수행된 적이 있으나 아직 해양에서의 관련 연구는 거의 없다. 최근 한국의 낙동강 하구에서, REEanth를 기반으로 WWTP 기인 미량 중금속의 기원을 밝히는 연구가 수행되었으며(Kim et al. 2020b), 다양한 수리학적 자료와 결합하여 해양으로의 유출량, 체류시간, 유출 범위 및 체류시간을 정량하는 연구가 필요하다.
인위적 Gd의 인체 유입 및 생체 위해성 평가
Gd 착화물은 지화학적으로 매우 안정하기 때문에 과거에는 인체 및 생태 영향에 대해 잘 알려져 있지 않았다. 그러나 수용액상에서 Gd3+의 이온 반경이 Ca2+와 매우 유사하여, 체내에 축적될 경우 인체 내 세포의 이온 채널에 Ca2+의 작용을 막거나 방해할 수 있는 것으로 알려져 있다(Thakral et al. 2007). 또한 이렇게 체내에 축적된 Gd3는 Ca2+보다 매우 흡착성(affinity)이 강해서, 신경근의 전달 작용의 저해와 세포 내 효소와 세포막 의 생체 과정을 방해할 수 있다고 알려져 있으며, 또한 인체 조직에 Gd 축적은 신부전, 전신 섬유증, 쇼크 등을 유발하는 것으로 보고되었다(Hasdenteufel et al. 2008). 최근 연구 결과에 따르면, 0.1 mmol kg-1의 Gd3+ (e.g., GdCl2)이 인체에 유입되면 사망에 이른다고 알려져 있다(White et al. 2006). 따라서 Gd-CA가 수환경 및 인체 내에서 free Gd+로 전환되는 양상, 체류시간, 생물학적 반감기에 대한 향후 연구를 통해, Gdanth에 의한 다양한 생물 및 생태학적 위해성(Ecological risk)을 평가하는 것이 필요하다. 또한, REE 원소들은 주로 함께 거동하는 특성을 가지고 있어 다양한 인위적 기원 REE의 생물 내 위해성에 대한 연구 역시 필요하다.
Gd 외에 인간활동 기원 REE의 유입 및 물질순환 연구
각종 첨단 산업의 자원 물질로 이용되는 REE는 그 국제적인 생산 및 소비가 지속적으로 더 증가할 것으로 예상되며, 따라서 최근 국제적으로 신규오염물질로 인식된 Gdanth뿐만 아니라 다양한 화학 형태를 지닌 REEanth가 인간활동에 의해 지구 환경에 지속적으로 유입될 것으로 생각된다. Kulaksız and Bau (2011b)는 과거 독일 Rhine River에서 La anomaly를 관측하였는데, 이는 주변 화학 공정(fluid catalytic cracking catalysts)에 의한 오염물 유출인 것으로 보고하였다. 이러한 La 및 LREE 또는 MREE anomaly는 대한민국에서도 역시 한강과 낙동강(Kim et al. 2020a, 2020b)에서 역시 관측되었으나, 그 기원이 어디인지는 명확히 알려져 있지 않다. 여러 REE의 인위적 기원 및 해양 유입에 대한 연구 역시 필요할 것으로 생각된다.




