1. 서 론
2. 모델 및 자료
3. 결 과
해수면온도 시·공간 특성
위도역별 평균 해수면온도와 경험직교함수 특성
경험직교함수 모드의 전 지구 해수면온도 변동성과의 상관성
위도 해역별 경험직교함수의 지연 상관성
남반구 중고위도 해수면온도 주요 장주기 변동의 영향
4. 토의 및 결론
1. 서 론
기후변화는 기후시스템 내부에 존재하는 자연적인 기후변동성과 외력에 의한 기후변화를 모두 포함한다. 산업혁명 이후 지구의 온도는 지속적으로 상승하였으나, 특정 시기에는 온도가 증가하지 않고 정체하거나 감소한 경우도 있다(e.g. Lee et al. 2015). 이러한 증감은 에어로졸 등 온실기체 이외의 변화에 의한 것이기도 하지만, 자연에 존재하는 내부 변동성이 영향을 미치는 것이기도 했다.
기후시스템에 존재하는 내부 변동성은 이산화탄소, 태양활동과 같은 외력의 변화가 없더라도 지구의 온도를 다양한 주기에서 변화시킬 수 있다. 가장 일반적인 예가 엘니뇨-남방진동(El Nino-Southern Oscillation, ENSO; e.g. Bjerknes 1969)이다. 이 현상은 적도 태평양에서 해양-대기의 상호작용에 의해서 발생하는 내부 변동성으로, 3–7년의 주기로 적도 동태평양을 중심으로 해수면온도의 변화를 가져온다. 1800년 대 중반부터 관측한 표면 기온이나 해수면온도의 전 지구 평균값이 몇 년 마다 증감을 하는 것이 상당 부분 엘리뇨-남방진동으로 설명할 수 있다. 그 외에 더 긴 장주기 변동은 태평양 순년 변동(Pacific Decadal Oscillation/Variability, PDO/V; e.g. Mantua et al. 1997)이나, 북대서양 수십 년 변동(Atlantic Multidecadal Oscillation/Variability, AMO/V; Knight 2005)이다.
기후시스템에서 발생하는 장주기 변동을 분석하기 위해서는 변동의 주기보다 상당히 긴 관측자료가 필요하다. 하지만 관측값으로 긴 자료는 해수면온도의 경우 약 1854년부터로 170년 정도이다(Huang et al. 2017). 기후모델은 관측자료를 보완할 수 있는 좋은 도구로서, 과거 기후를 재구성하고 현재 기후를 재현하며 미래 기후를 예측하는 데 필수적인 도구이다. 해양-대기-해빙과 같은 개별 기후시스템 요소를 결합한 기후모델은 요소 내부의 자연변동성(e.g. Hurrell and Deser 2009)과 함께 요소 간 상호작용(e.g. Park and Latif 2005)에 의한 발생하는 자연변동성을 재현한다. 외력을 일정하게 고정하고 기후모델을 장기 적분할 경우, 기후시스템 구성 요소 내부 변동성과 함께 해양, 대기, 해빙 모델의 상호작용에 의해 발생하는 다양한 주기의 변동이 재현된다. 앞에서 기술한 엘니뇨-남방진동은 해양과 대기의 상호작용으로 만들어 지는 것으로, 이 엘리뇨-남방진동을 기후모델이 얼마나 잘 모의하는 지는 해양-대기 접합모델인 해양-대기 상호작용을 포함하여 기후모델의 성능을 가늠하는 중요한 척도이기도 하다(Beobide-Arsuaga et al. 2021).
해수면은 해양과 대기, 그리고 해빙의 경계에서 열, 물질, 운동량을 교환하는 중요한 경계층이다. 특히 해수면온도(Sea Surface Temperature, SST)는 요소 모델 간 열, 물질, 운동량 교환에 관여하고, 기후시스템에 존재하는 변동성을 나타내는 인자이다. 엘니뇨-남방진동, 태평양 순년 변동, 북대서양 수십 년 변동 등 중요한 기후변동은 해수면온도의 변화로 지수화 할 수 있다. 따라서 해수면온도의 변동성을 분석하는 것은 기후 시스템의 내부 변동성을 연구하는데 필수이다.
본 연구는 해양-대기-해빙 모델이 접합된 기후모델에 지구의 자전과 공전을 제외한 외력을 고정하고 적분하여, 기후모델이 만들어내는 기후변동성을 분석하였다. 특별히 기후변화에 관한 정부간 협의체(Intergovernmental Panel on Climate Change, IPCC) 평가보고서에 사용된 기후모델이 1°의 해양 모델 해상도를 가지는데 비해, 좀 더 높은 0.5°의 해상도로 수천 년 적분을 한 결과를 제시한다. 수천 년의 장기 적분 자료의 장점을 살려 10년 및 100년 이상의 장주기 변동성에 초점을 두었다.
2. 모델 및 자료
본 연구에서는 킬 기후모델(Kiel Climate Model, KCM; Park et al. 2009)을 사용하였다. KCM은 대기모델 ECHAM5 (Roeckner et al. 2003)와 해양-해빙 모델 NEMO (Madec et al. 2008)를 결합자 OASIS (Valcke 2006)로 결합한 모델이다. 본 연구에 사용한 버전은 Park et al. (2009)에 사용된 모델과 비교하여 해양-해빙모델 NEMO의 경우 버전3.4로 승급하였고, 결합자는 OASIS-MCT (Valcke et al. 2012)로 승급하여 결합자의 병렬 계산이 가능하게 하였다. 또한 고해상도 대기 및 해양 격자를 채용하였다. 대기모델 ECHAM5의 수평격자는 T63로서 경위도 1.875° × 1.875° 격자이며, 수직은 최상층이 0.01 hPa로 하여 총 47개의 층으로 구성하였다. 해양-해빙모델 NEMO는 0.5°의 수평격자 로서(ORCA05), 수직으로 총 46개의 층으로 구성되어 있다. 북반구의 유라시아와 아메리카 대륙, 남반구의 남극 대륙에 모델 극 특이점 격자를 두었다.
해양의 수온, 염분 평년값(Levitus et al. 1998)을 초기장으로 하여, 온실기체를 산업혁명 이전 값(예. CO2 = 286.2 ppm)으로 고정한 후 장기 적분을 수행하였다. 해양-해빙-대기-육상의 상호작용에 의해 발생하는 기후 내부 변동성의 다양한 스펙트럼을 분석하기 위해, 총 6,000년의 적분을 실시하였다. 해양이 충분히 가평형 상태에 이른 후의 변동성 분석을 위해 초기 1,000년은 제외하고, 후반부 5,000년을 분석하였다. 이 장기 기준 실험이 연장되기 전에, 처음 1천 년 적분 자료 분석 결과 이 실험은 북극의 해빙과 북태평양 상관관계를 잘 재현하였다(Lee et al. 2017). 또한 이산화탄소 증가 실험에서 북태평양 알류샨 저기압(Aleutian Low)의 강화를 모의하였다(Choi et al. 2020).
기준 실험의 예단변수인 해수면온도를 사용하였는데, 대기격자에 저장된 해수면온도를 연 평균하여 분석하였다. 기후모델에서 해수면온도는 해양-해빙 모델에서 계산되고, 접합자를 통해 대기 모델에 전달되어 진 후 대기모델에서 사용된다. 따라서 해수면온도가 대기 모델의 격자에도 저장이 된다. 5,000년의 장기 적분자료이고, 큰 규모의 변동성을 파악하는 본 연구의 목적에 따라 접합자에서 정밀하게 보간된 공간 해상도가 낮은 자료를 분석하는 것이 용이하여 대기 모델에 저장된 변수를 사용하였다. 경년, 수십 년, 수백 년 등 장기변동성을 보기 위하여 연 평균 자료 이외에 연 평균 자료를 중복기간이 없게 10년, 100년 평균한 자료를 분석하였다.
공간 및 시간 특성 변동성은 각 격자에서 연 평균, 10년 평균, 100년 평균 해수면온도의 표준편차와 그 상대적인 비로 계산하였다.
또한 시·공간적인 특성 분석을 위해 경험직교함수(Empirical Orthogonal Function, EOF) 분석 진행하였다.
전 지구, 해역별 평균 온도, 경험직교함수 분석으로 구한 주성분 시계열(Principal Component, PC) 등의 시계열 특성은 다중 테이퍼 분석(Multi-taper Method, MTM)을 이용하여 스펙트럼을 구하였다. 이를 위해 SSA-MTM Toolkit (Ghil et al. 2002; https://dept.atmos.ucla.edu/tcd/ssa-mtm-toolkit)을 사용하였다.
3. 결 과
해수면온도 시·공간 특성
해수면온도의 전 지구 평균값은 5,000년 분석기간 동안 3.02 × 10-4°C 증가하는 아주 작은 값으로 무시할 만한 경향성을 보여, 해수면온도가 분석기간 중 평형에 도달했음을 알 수 있다(Fig. 1a). 해수면온도 편차(Anomaly)의 변동은 최저 약 -0.3°C에서 최고 0.3°C까지 존재하며, 특정 기간에 백 년 동안 약 0.5°C의 증감을 보인다. 따라서 기후시스템 내의 상호작용에 의해 해수면온도의 전 지구 연 평균값의 변동이 크게 발생할 수 있음을 보여준다. 전 지구 연 평균값의 표준편차는 0.079°C이다. 해수면온도 전 지구 평균값의 스펙트럼은 약 90년 주기에서 가장 강한 변동성을 보인다(Fig. 1b). 그 다음으로 약 7년 주기보다 짧은 주기에서 90% 이상의 유의한 값을 보인다. 그 외에 수십 년, 수백 년 주기에서 변동을 보이지만, 전 지구 평균값은 경년 및 90년 주기 변동이 주된 변동이다.

Fig. 1.
(a) Global mean sea surface temperature (SST) anomalies from a multi-millennial control simulation with the Kiel Climate Model, and (b) its spectrum. Annual mean data are used to calculate the global mean, and the 5,000-year mean is removed. The time series shows no-detrended data; However, detrending is applied before spectrum calculation, although the trends are negligible (6.04 × 10-8°C/year). The red lines in the time series represent ±1 standard deviation. In the spectrum, blue, cyan, and sky blue in the spectrum represent 90%, 95%, and 99% confidence levels, respectively, while and green represents the red fit
해수면온도의 시·공간적 변동 특성을 분석하기 위하여 각 격자의 연 평균, 10년 평균, 100년 평균 해수면온도의 표준편차를 구하였다(Fig. 2a–c). 연 평균값의 표준편차는 모든 시간규모의 변동을 포함하는 것이다(Fig. 2a). 적도 태평양에서 0.8°C 이상의 큰 값을 보이는데, 이는 엘니뇨-남방진동에 의한 것이다. 북반구 중위도의 경우 북태평양의 쿠로시오(Kuroshio), 북대서양의 멕시코만류(Gulf Stream)와 같은 서안경계류의 하류에서 크다. 고위도의 경우 북대서양의 그린랜드-아이슬랜드-노르웨이해(Greenland, Iceland, and Norwegian Seas, GIN Sea)에서 크다. 남반구의 경우도 동오스트레일리아 해류(East Australian Current)와 브라질 해류(Brazil Current)와 같은 서안경계류의 하류에서 크다. 또한 남극순환류(Antarctic Circumpolar Current) 부근의 고위도에서 큰 변동을 보인다. 북반구 중고위도의 표준편차는 적도 태평양이나 남반구 중고위도의 표준편차보다 크다. 특히 그린랜드해와 베런츠해(Barents Sea)와 같이 해양-해빙의 경계가 뚜렷한 경계역에서 최대 변동성을 보인다.
10년 평균값의 표준편차의 경우 연 평균값의 표준편차에 비해 저위도 및 중위도의 해역 대부분에서 낮은 값이다. 특별히 적도역에서 아주 낮은 값(< 0.2°C)을 보이는데, 이는 이 해역에서 경년 변동이 전체 변동성의 대부분을 차지함을 의미한다(Fig. 2b). 하지만 적도 태평양은 적도 인도양, 적도 대서양에 비해 조금 높은 값을 보여, 적도 태평양에도 장주기 변동 성분이 존재하는 것을 나타낸다. 특히 적도 태평양의 중앙부가 동부보다 다소 높아 장주기 변동의 경우 적도 태평양에서도 중앙부가 큼을 보인다. 10년 평균값의 표준편차는 중위도보다 고위도에서 명백히 크게 나타난다. 즉, 중위도 서안경계류 보다는 해양-해빙 경계가 있는 고위도에서 크다. 이러한 현상은 100년 평균자료의 표준편차에서 더 두드러진다(Fig. 2c).
10년 평균(σ10ym), 100년 평균(σ100ym)자료의 표준편차의 연 평균(σ1ym)자료 표준편차에 대한 상대 비율을 통해 수십 년, 수백 년 변동이 전체 변동에 차지하는 부분을 계산하였다(Fig. 2d and e). 연 평균값은 전체변동성을 나타내기에 장기간 평균값의 표준편차보다는 항상 크다. 10년 평균자료의 표준편차는 연 평균자료의 표준편차에 비해 적도해역에서 약 20% 정도를 차지한다(Fig. 2d). 북반구의 서안경계류(쿠로시오, 멕시코 만류)에서 약 50%정도이며, 남반구의 동오스트레일리아 해류에도 비슷한 값이다. 하지만 남반구 대서양 해역인 브라질 해류 끝단에서 70%정도의 높은 값을 보인다. 고위도의 경우 북극해와 남극해의 웨델해(Weddell Sea)와 웨델환류(Weddell Gyre)역에서 80% 이상의 높은 값이다. 이는 수십 년 변동성이 중, 고위도, 특히 고위도에서 중요함을 시사한다. 10년 평균값의 표준편차는 대부분의 저, 중위도 해역에서 연 평균값의 표준편차에 비해 10% 이내의 낮은 값을 보인다(Fig. 2e). 북극해에서는 약 50%, 남극해에서는 약 30%를 차지하여, 수십 년 변동성에 비해 비율은 낮지만 위도상에서 비슷한 분포를 보인다. 10년 평균값과 100년 평균값의 변동성의 상대적인 크기를 비교한 결과(Fig. 2f), 수백 년 변동성은 북극해와 남극해의 태평양 해역에서 크다. 또한 인도양에서 대서양을 잇는 아굴라스 유출역(Agulhas leakage)에서 큰 값을 보인다.

Fig. 2.
(a–c) Standard deviation of the SST (°C) for the annual (a), 10-year (b), and 100-year mean (c) data. The 10-year and 100-year means are calculated consecutively without any overlap in time. (d–f) The ratio of the standard deviation between the 10-year and annual mean data (d), the 100-year mean and the annual mean (e), and the 100-year and 10-year mean data (f), which represent the relative strength of the variability on different time scales
위도역별 평균 해수면온도와 경험직교함수 특성
해수면온도 변동성의 시·공간 변동성이 위도와 남반구, 북반구에 따라 다른 특징이 나타나기에, 특정 위도내의 변동성을 분석하였다. 북반구 중고위도(30°–90°N), 적도를 포함한 저위도(30°S–30°N), 남반구 중고위도(30°–90°S)로 나누어, 전 경도를 포함한 해역의 해수면온도 평균값(Fig. 3)과 경험직교함수(Figs. 4, 5, 6, 7) 분석을 하였다. 평균값은 공간분포를 고려하지 않은 전체 시계열의 변동성을, 경험직교함수 분석은 그 변동을 시공간적으로 좀 더 세부적으로 나눈 것이다.
북반구 중고위도, 저위도, 남반구 중고위도의 평균 해수면온도 연 평균값 시계열은 다양한 시간규모가 포함된 풍부한 변동을 보인다(Fig. 3a, c and e). 표준편차는 각각 0.131°C, 0.127°C, 0.105°C로 전 지구 평균값의 표준편차인 0.079°C보다 크다. 북반구 중고위도와 저위도는 비슷한 값을 보이지만 북반구 중고위도에서 좀 더 큰 표준편차를 보인다. 북반구 중고위도의 평균 해수면온도의 스펙트럼은 수십 년 및 백 년, 수백 년 주기에서 유의한 스펙트럼 에너지가 광범위하게 분포한다(Fig. 3b). 이는 경험직교함수 분석 결과(Fig. 4)를 통해 자세히 제시하겠지만 태평양 및 대서양의 장주기 변동성이 복합된 것에 기인한 영향으로 보인다. 저위도의 스펙트럼은 특별히 경년이나 순년 주기에서 유의한 변동성을 보인다(Fig. 3d). 저위도의 표준편차가 북반구 중고위도의 표준편차에 상응하게 큰 것은 경년 변동성을 중심으로 한 저위도의 해수면온도 변동이 다른 장주기 변동성에 비해 변동성에 중요한 영향을 미침을 시사한다. 저위도 해수면온도의 스펙트럼에서 특이한 것은 약 100년 주기를 중심으로 유의한 에너지가 존재하는데, 이는 앞에서 제시한 것과 같이 적도 태평양 중앙부에서 10년 평균값의 표준편차가 크게 나온 것과 일치한다. 남반구 중고위도의 경우 약 90–100년 보다 조금 짧은 주기에서 매우 두드러진 스펙트럼을 보이는데, 이는 남극해에 존재하는 특정한 변동성으로 보인다(Fig. 3f).

Fig. 3.
(a, c, e) Annual mean SST anomalies of the zonal mean over the areas 30°–90°N (a), 30°S–30°N (c), and 30°–90°S (e), and (b, d, f). The red lines in the time series represent ±1 standard deviation. In the spectrum, blue, cyan, and sky blue in the spectrum represent 90%, 95%, and 99% confidence levels, respectively, while and green represents the red fit
각 해역 별 평균 해수면온도의 시계열 및 스펙트럼 특성을 좀 더 분해하기 위해 위도역별로 경험직교함수를 적용하였다. 특별히 장주기 변동에 중점을 두기 위해 분석에 10년 평균값을 사용하였다. 북반구 중고위도(30°–90°N)에서 1, 2, 3 모드는 각각 27.9%, 13.2%, 10.4%를 나타내며, 1모드(EOF1)는 그린랜드-아이스랜드-노르웨이해와 배런츠해에서 강한 변동성을 보인다(Fig. 4a). 주성분 시계열(Principal Component 1, PC1; Fig. 4b)은 50–60년, 100년 주기에서 큰 변동성을 보인다(Fig. 4c). 2모드(EOF2)는 쿠로시오/오야시오 경계부근과 북대서양 중위도역에서 큰 변동성을 보이며, 넓은 대역의 수십 년 주기와 700년 중심의 수백 년 변동성을 보인다(Fig. 4e and f). 3모드(EOF3)는 태평양의 베링해와 대서양의 고위도(아극해역, Subpolar region)에서 큰 변동성(Fig. 4g)과 40–50년, 80년 등 수십 년 주기와 100–220년 주기에서 95% 유의성을 넘는 변동을 보인다(Fig. 4h and i).

Fig. 4.
(a, d, g) The first (a), second (d), and third (g) eigenvectors (°C) and (b, e, h) the corresponding principal components (PCs) from the empirical orthogonal function (EOF) analysis with the 10 year mean SST anomalies over the mid- and high-latitudes (30°–90°N) in the Northern Hemisphere. (c, f, i) The corresponding spectra of the PCs. Blue, cyan, and sky blue in the spectrum represent 90%, 95%, and 99% confidence levels, respectively, while and green represents the red fit
저위도(30°S–30°N)해역의 해수면온도 10년 평균값의 경험직교함수는 1모드가 29.6%로서 2, 3모드(각 9.5%, 5.9%)보다 월등히 큰 변동을 표현한다. 1모드는 적도 태평양 중앙부와 중위도 태평양 동부의 변동이 특징적이며(Fig. 5a), 주성분 시계열(Fig. 5b)은 30–50년 주기와 100년 이상의 주기에서 유의성 95%를 넘는 에너지를 보인다. 2모드와 3모드는 1모드에 비해 해수면온도의 변동이 작다(Fig. 5d and g). 이 두 모드의 주성분 시계열(Fig. 5e and h)은 몇 개의 수십 년 주기 변동성과 100년 주기 변동성에서 스펙트럼의 특성이 비슷하다.

Fig. 5.
(a, d, g) The first (a), second (d), and third (g) eigenvectors (°C) and (b, e, h) the corresponding PCs from the EOF analysis with the 10 year mean SST anomalies over the tropical and subtropical ocean (30°S–30°N). (c, f, i) The corresponding spectra of the PCs. Blue, cyan, and sky blue in the spectrum represent 90%, 95%, and 99% confidence levels, respectively, while and green represents the red fit
남반구 중고위도(30°–90°S) 해수면온도 10년 평균값의 경험직교함수는 1, 2모드가 각각 33.0%와 22.3%로 큰 부분을 차지하지만(Fig. 6a and d), 3모드는 7.5%로 낮은 값을 보인다(Fig. 6g). 1모드는 웨델해를 포함한 웨델환류의 넓은 해역에서 높은 변동성을 보인다(Fig. 6a). 주성분 시계열은 특정 주기에서 규칙적인 변동성을 보이는데(Fig. 6b), 스펙트럼 분석에서 약 90년을 중심으로 70–100년의 폭넓은 주기에서 큰 에너지를 보인다(Fig. 6c). 2모드는 남극해 인도양과 태평양 해역에서 큰 변동성을 보이며(Fig. 6d), 1모드와 마찬가지로 약 90년 주기 중심의 규칙적인 주성분 시계열 특성을 보인다(Fig. 6e and f). 3모드는 차지하는 변동이 작지만 남극해 태평양 해역에서 큰 변동과(Fig. 6g), 수십 년, 백 년, 수백 년 주기에서 유의한 변동을 보인다(Fig. 6h and i).

Fig. 6.
(a, d, g) The first (a), second (d), and third (g) eigenvectors (°C) and (b, e, h) the corresponding PCs from the 10 year mean SST anomalies over the mid- and high-latitudes (30°–90°S) in the Southern Hemisphere. (c, f, i) The corresponding spectra of the PCs. Blue, cyan, and sky blue in the spectrum represent 90%, 95%, and 99% confidence levels, respectively, while and green represents the red fit
경험직교함수 모드의 전 지구 해수면온도 변동성과의 상관성
앞에서 10년 평균한 해수면온도를 위도별 해역으로 구한 경험직교함수의 각 모드와 전 지구 해수면온도의 변동성과 연계성을 선형 회기 분석을 통하여 알아보았다. 각 격자의 10년 평균 해수면온도를 각 모드의 주성분 시계열에 회귀 분석을 하였다.
북반구 중고위도의 1모드(Fig. 4a–c)는 고유벡터(eigenvector)의 분포와 비슷하게 그린랜드-아이슬랜드-노르웨이 해역에서 큰 선형 회귀값을 보이며, 그 해역에서 설명분산(Explained variance)은 80%에 육박한다(Fig. 7a). 북대서양의 중위도 해역에서 약 10%의 설명분산을 보이지만, 다른 해역에서는 설명분산이 낮다. 2모드(Fig. 4d–f)는 태평양과 대서양의 중위도에서 높은 설명분산값을 보며, 태평양에서 80% 및 북대서양에서 20%에 이른다(Fig. 7b). 이를 통해 2모드는 태평양과 대서양의 해수면온도의 위상이 동시에 변하는 것을 나타내는 것임을 알 수 있다. 1모드가 고위도에서 큰 변동인 것에 반해 2모드는 중위도에서 강한 변동이다. 3모드(Fig. 4g–i)는 태평양의 베링해와 대서양의 중위도 동부 북대서양 해류역에서 높은 설명분산을 보인다(Fig. 7c). 2모드와 비교하여 변동이 좀 더 높은 위도에 위치하는 특성이다. 북반구 중고위도의 세 개의 주요 모드는 모두 그 변동이 중고위도에 강하며, 적도나 남반구 등에 주는 영향은 적다.
저위도의 1모드(Fig. 5a–c)는 적도 태평양 중동부에서 강한 특성이 나타나며, 인도양과 대서양에서도 높은 설명분산 값을 보인다(Fig. 7d). 특히 인도양의 경우 서인도양, 대서양의 경우 동대서양에서 높다. 이는 저위도의 인도양, 태평양, 대서양이 장주기에서 서로 원격 상관 관계에 있음을 시사한다. 태평양의 경우 북반구 및 남반구에 강한 설명분산이 존재하여 적도의 장주기 변동이 중, 고위도와 원격상관된 것을 보인다. 2모드(Fig. 5d–e)는 태평양 웜풀(Warm Pool)을 포함한 서태평양의 저위도에서 오스트레일리아 동부에 이르는 넓은 해역과 대서양 저위도에서 높은 값을 보인다(Fig. 7e). 또한 남극해 웨델환류 동부에서도 높은 값을 나타낸다. 3모드(Fig. 5g–i)는 적도 태평양 동부와 대서양 아열대해역에서 20–30%의 설명분산을 보인다(Fig. 7f).
남반구 중고위도의 1모드(Fig. 6a–c)는 웨델환류와 그 연장선의 인도양 해역에서 최대 90%의 강한 설명분산을 보이며, 오스트레일리아 남부역까지 영향 범위가 넓다(Fig. 7g). 2모드는 50°–60°S의 넓은 위도역에서 인도양, 태평양, 대서양을 포함하는 광범위한 해역에서 높은 설명분산을 보인다(Fig. 7h). 3모드(Fig. 6g–i)는 태평양의 변동과 인도양, 대서양의 중위도와 반대의 위상을 보이며, 10%의 설명분산이 저위도 태평양 동부해역에 나타난다(Fig. 7i).
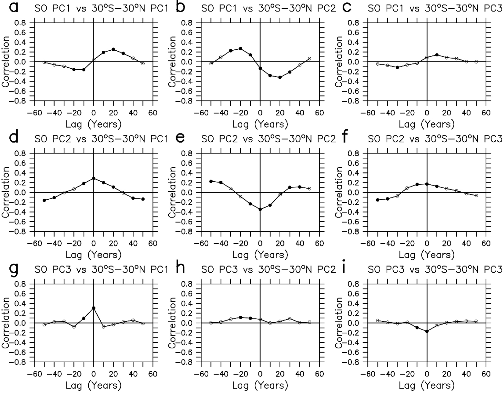
위도 해역별 경험직교함수의 지연 상관성
경험직교함수는 각 모드가 수학적으로 독립적으로 주성분 시계열 간의 상관 계수는 0이다. 하지만 개별 모드가 물리적으로 연결이 되어 있다면, 시간 지연차에 의한 선후행 상관계수가 높게 나올 것이다. 각 위도 해역별로 구한 경험직교함수의 모드가 서로 물리적으로 연계되어 있을 가능성을 주성분 시계열의 선후행 상관분석으로 알아보았다.
특정 위도 해역별로 구한 각 모드는 예상한 것과 같이 지연상관이 없을 경우 주성분 시계열 간의 동시 상관계수는 0이다(Fig. 8). 북반구 중고위도(Fig. 8a–c)나 저위도(Fig. 8d–f)는 주성분 시계열의 지연이 있을 경우에 상관계수가 10년 혹은 20년 선후행에 따라 95% 신뢰수준에서 유의한 상관계수가 나오지만, 모두 10% 설명분산(상관계수 0.32) 이하의 낮은 값이다. 하지만, 북반구 중고위도에서 1모드가 3모드를 20년 선행할 경우 상관계수 0.35 (12%의 설명분산)의 높은 값이 나오는데(Fig. 8b), 이 모드는 북대서양의 그린랜드-아이슬랜드-노르웨이해와 베런츠해의 해수면온도 변동(Figs. 4a and 7a)과 북대서양 아북극해역, 태평양 베링해 해역의 해수면온도가 20년의 지연을 두고 영향을 주는 것을 시사한다. 1모드와 3모드의 스펙트럼 특성(Fig. 4c and i)는 100–200년 사이에 유의한 값을 보이고, 지연상관계수가 폭넓게 양의 값을 보이며 특별한 진동형태를 보이지 않는다. 북반구 중고위도의 1모드와 2모드(Fig. 7a), 2모드와 3모드(Fig.7c)는 10% 미만의 설명분산을 보이지만, 95% 신뢰수준에서 유의하기에 북반구내의 태평양, 대서양, 북극해의 변동의 물리적인 상호관계가 있음을 시사한다. 또한 저위도 1모드와 3모드(Fig. 7e), 2모드와 3모드(Fig. 7f)도 95% 신뢰수준에서 유의한 상관계수가 나와 저위도의 해역간 상호관계가 있음을 시사한다. 이에 대한 역학 분석은 추후 관련된 해양, 대기 변수와 10년 평균값 이외의 더 단주기 자료 분석이 필요하다.

Fig. 8.
Lead-lag correlations between the PCs in the EOFs over (a–c) the mid- and high-latitudes in the Northern Hemisphere, (d–f) the tropics and subtropics, and (g–i) the mid- and high-latitudes in the Southern Hemisphere: between PC1 and PC2 (a, d, g), PC1 and PC3 (b, e, h), and PC2 and PC3 (c, f, i). Positive lags indicate the lead of the former PC. The filled circle represents values that are significant at the 95% confidence level
아주 특징적인 지연상관은 남반구 중고위도 경험직교함수의 1, 2 모드에서 발견된다(Fig. 8g). 이 두 모드는 1모드가 2모드를 20년 선행할 경우 상관계수 0.71 (설명분산 50%)의 높은 관계성을 보이며, 20년 후행할 경우 상관계수 -0.61 (설명분산 35%)의 값을 보인다. 이를 통해 두 모드가 최저에서 최고 상관계수까지 40년, 즉 약 80년 정도의 특징적인 주기성을 보임을 알 수 있다. 이는 경험직교함수 1, 2모드의 주성분 시계열의 스펙트럼이 모두 약 80–100년 주기에서 에너지를 보인 것(Fig. 6a and b)에 비추어 물리적으로 중요한 것으로 보인다. 따라서 경험직교함수 계산시 10년 평균자료를 이용한 것을 고려하면, 두 모두의 스펙트럼 특성에서 보이는 80–100년 주기와 일치함을 알 수 있다.
남반구 중고위도 해수면온도 주요 장주기 변동의 영향
해수면온도의 전 지구 평균값(Fig. 1)에서 80–100년의 강한 변동성이 보였고, 특별히 이 변동성이 남반구 중고위도 평균 해수면온도(Fig. 3e and f)와 남반구 중위도 해수면온도의 경험직교함수 1, 2, 3모드에서 잘 분해되었다(Fig. 6). 특히 경험직교함수 주성분 시계열의 해수면온도 회귀 상관값이 2모드는 인도양과 대서양을 중심으로, 3모드는 태평양을 중심으로 한 적도역까지 10%이상의 설명분산이 존재했다. 따라서 남반구 중고위도 해수면온도 경험직교함수의 주성분 시계열과 각 해역별 모드의 주성분 간 선후행 상관계수 분석을 진행하였다. 이를 통해 남반구에서 강한 80–100년 변동이 어떻게 북반구 또는 저위도 해역과 연관되는지 고찰하였다. 앞에서 설명한 것과 같이 1모드는 웨델해와 웨델환류역 부근에서, 2모드는 인도양 및 태평양의 고위도, 대서양의 중위도 부근에서, 3모드는 태평양 고위도에서 큰 변동성을 보인다. 각 모드의 위도별 공간분포(Fig. 7)를 참조하여 비교할 수 있다.
남반구 중고위도 주요 모드는 북반구 중고위도 주요 모드와 대부분 0.2 미만의 낮은 상관계수를 보인다(Not shown). 하지만 저위도의 일부 모드 경우 특정 선후행 위상에서 0.3내외의 상관계수를 보인다(Fig. 9a–c). 남반구 중고위도 1모드의 경우 저위도의 1모드를 약 20년 선행에서 약 0.25의 양의 상관값을 보인다(Figs. 9a, 7g and d). 각 이는 남반구 웨델해 및 웨델환류역의 해수면온도 변동이 태평양, 인도양, 대서양을 포함하는 적도 및 저위도와 관련된 것을 시사한다. 남반구 중고위도 1모드는 또한 저위도의 2모드를 20년 선행할 때 -0.32상관관계를 보인다(Fig. 9b). 이는 남반구 중고위도 1모드가 적도 서태평양 및 대서양 해역의 해수면온도 변동에 영향을 줌을 시사한다(Fig. 7g and e).

Fig. 9.
Lead-lag correlations between (a–c) PC1 in the EOFs of the mid- and high-latitudes in the Southern Hemisphere with leading three PCs in the tropics and subtropics. The same, but with (d–f) PC2 and (g–i) PC3 in the EOFs of the mid- and high-latitudes in the Southern Hemisphere. Positive lags indicate the lead of the Southern Hemisphere PC1, PC2, or PC3. The filled circle represents values that are significant at the 95% confidence level
남반구 중고위도 2모드(Fig. 7h)는 저위도 1모드(Fig. 7d)와 동시상관에서 0.28의 값을 보인다(Fig. 9d). 또한 남반구 중고위도 2모드는 저위도 2모드와 동시상관에서 -0.34정도의 상관관계를 보인다(Fig. 9e). 정리하면 남반구 중고위도 해수면온도의 1모드와 2모드가 20년 지연상관을 이루고, 2모드가 저위도의 1, 2 모드와 동시상관을 이루는 것이다. 이를 통해 남반구 중고위도의 80–100년 주기 변동성이 남반구 중고위도 2모드를 통해 적도를 중심으로 한 저위도로 원격상관 되는 것을 시사한다.
남반구 중고위도 3모드(Fig.7i)는 저위도 1모드(Fig. 7d)와 동시상관에서 2모드와 비슷하게 0.31의 값을 보인다(Fig. 9g). 하지만 2모드에 비해서 시간 지연에 따라 상관계수가 급격히 낮아져서 2모드 보다는 짧은 단주기 변동성에서 상관이 있은 것을 시사한다. 이를 통해 3모드는 2모드와 연계되지 않은 별도의 모드로서 저위도와 원격상관된 모드인 것으로 사료된다.
4. 토의 및 결론
기후 시스템은 외력의 변화가 없더라도 개별 기후 시스템 요소 내부 및 시스템 간 상호작용에 의해 내부 변동성을 만들어낸다. 이 연구는 기후모델에 온실기체, 태양상수 등 외력을 고정한 후, 장기 적분하여 모델이 거의 평형상태에 이른 총 5천 년의 자료를 분석하였다. 해수면온도는 해양-대기-해빙의 변동을 대표하는 중요한 변수로, 해수면온도의 변동성을 분석하여 기후모델이 생산하는 다양한 주기의 내부 변동성을 분석하였다.
연 평균 해수면온도의 총 변동을 표준편차를 척도로 구한 결과 적도 태평양을 중심으로 한 저위도, 북반구 중위도 서안경계류, 남반구 남극순환류, 남반구 및 북반구 고위도의 해양-해빙 경계역에서 크다. 연 평균과 10년 평균값의 각 표준편차의 비를 통해 적도 태평양 변동의 대부분은 경년 변동이 차지함을 알 수 있다. 이는 잘 알려진 엘리뇨-남방진동에 의한 경년 변동의 영향을 반영하는 것으로 분석된다. 수십 년 변동을 포함한 장주기 변동은 서안경계류에서 나타났다. 연 평균, 10년 평균값과 100년 평균값의 각 표준편차의 비교를 통해 수십 년 주기보다 긴 장주기 변동은 남극해와 북극해에서 두드러진다. 하지만 북극해의 경우 전체 변동성이 작아, 전 지구 평균 해수면온도의 변동에 기여하는 것은 적었다. 하지만 남극해의 80–100년 주기 변동은 전 지구 평균 해수면온도의 변동성에 크게 영향을 준다.
전 지구 평균, 위도 대역별 평균 해수면온도 및 경험직교함수 분석을 종합하면, 남반구에서 강한 80–100년 주기의 변동이 이 기후모델의 가장 특징적인 내부변동이다. 경험직교함수 분석에서 웨델해와 웨델환류역에서 가장 강하게 나타나는 이 모드는 인도양 및 태평양의 고위도, 대서양의 중위도 부근의 해수면온도 변동과 지연상관을 가지고 연관되어 있다. 또한 이 변동이 원격상관으로 적도의 해수면온도에 영향을 주었다. 이 모드는 남반구의 내부 변동성에 의해 발생하는 것으로 사료된다. 현재 분석한 모델보다 이전 버전의 저해상도(2도) 모델은 80–100년 주기가 보다 긴 수백 년 주기에서 웨델해의 해빙과 해수면온도 변동성을 재현하였다(Park and Latif 2008). 역학 분석 결과 수백 년 변동성은 웨델해의 해양 심층 대류(open ocean deep convection)의 변동과 관련이 되었는데, 해양 대순환에 의한 심층의 열유입과 대기로의 발산이라는 역학에 의해 발생하였다(Martin et al. 2013). 장기간에 걸쳐 심층으로 유입된 열이 해양 중앙부에 축적이 되고, 임계상태에 이르면 불안정에 의해 해양 심층 대류가 발생하여 축적된 열을 대기로 방출한다. 열의 방출이 충분히 일어나고 해양-대기 담수교환에 의해 해양의 상층이 다시 저염화되고(freshening), 해빙이 증가하며 심층 대류가 중단된다. 중단된 심층 대류 시기에 열이 다시 축적이 되는데 이 열의 축적은 대서양 자오순환(Atlantic Meridional Overturning Circulation, AMOC)과 웨델환류에 의해 수송된다. 이와 같은 남극해에서 심층대류는 기후모델에서 다양하게 표현되며, 시간 규모도 모델에 따라 다르게 나타난다(Heuzé et al. 2013; Reintges et al. 2017; Heuzé 2021).
이 연구에서 분석한 기준 실험은 이전 버전의 저해상도 모델(Park and Latif 2008; Martin et al. 2013)에 비하여 수백 년 주기의 변동성이 남반구가 아닌 북반구에서 크다. 즉, 이전 저해상도 실험은 수백 년, 백 년 주기 변동성이 모두 남반구에서 크게 나온 반면에, 이 실험은 수백 년 변동은 북반구, 백 년 주기 변동은 남반구에 집중되었다. 수백 년 주기 변동성이 북반구에서 크게 나타난 다른 모델의 사례(Delworth and Zeng 2012)에 비추어 북대서양 자오순환에 의한 열염의 이송과 북반구의 해양-대기-해빙 상호작용이 이 실험에서도 중요한 것으로 사료된다.
이 연구에서 분석한 기후모델 실험이 남반구에서 수백 년 주기보다는 짧은 80–100년 주기에서 변동이 강하고, 경험직교함수 1, 2모드가 남반구 고위도 및 중위도로 분리되어 나온 것에 비추어, 남극해와 아열대 해역(subtropical region)에서 수송된 열이 중요한 작용을 하는 것으로 보인다(Yin and Sarachik 1995). 심층해류와 환류에 의한 열수송의 상대적인 중요성과 북대서양 자오순환에 의한 열염분 순환이 남극해와 북극해에서 해양-대기-해빙의 상호작용에 의하여 다른 주기 변동성과 연계되는 역학에 대한 추가 분석이 필요하다.



